Open Access

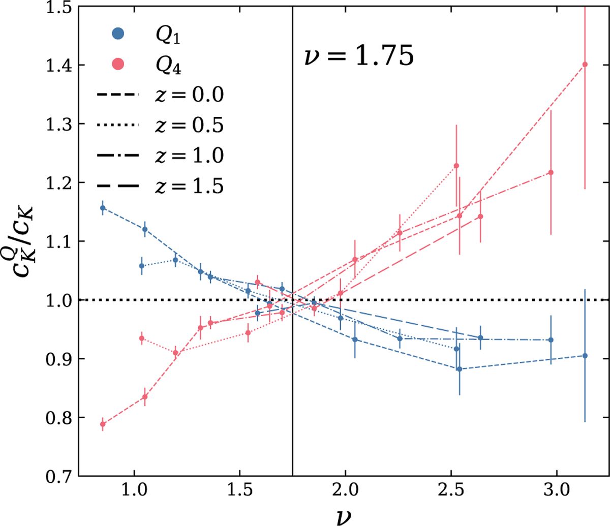
Fig. 6

image

Download original image

Measurements of linear shape bias in the Planck simulation, averaged over bins of ν, for halos selected in the lowest and highest quartiles in the distribution of spins. A clear assembly bias signal is detected: for low values of ν, objects with low (high) spin have an above (below) average cK value; this behavior is inverted around ν* = 1.75, as marked by the vertical black line.

Current usage metrics show cumulative count of Article Views (full-text article views including HTML views, PDF and ePub downloads, according to the available data) and Abstracts Views on Vision4Press platform.

Data correspond to usage on the plateform after 2015. The current usage metrics is available 48-96 hours after online publication and is updated daily on week days.

Initial download of the metrics may take a while.