Open Access

Fig. 2.

image

Download original image

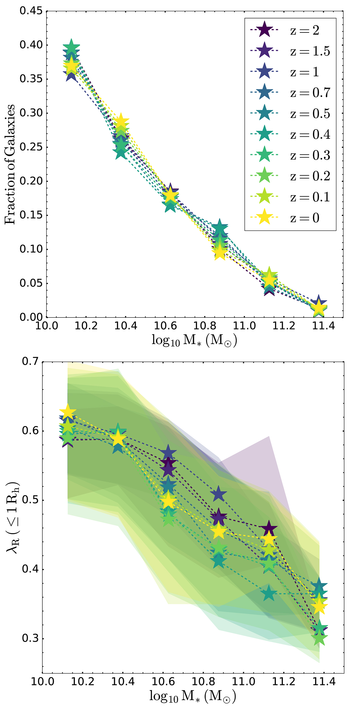
Stellar mass distribution (top panel) and median value of λR as a function of stellar mass (bottom panel) for our selected sample of disk-like galaxies at each redshift between 0<z<2. Shaded areas are defined by the 25th–75th interquartile range of the data in each bin.

Current usage metrics show cumulative count of Article Views (full-text article views including HTML views, PDF and ePub downloads, according to the available data) and Abstracts Views on Vision4Press platform.

Data correspond to usage on the plateform after 2015. The current usage metrics is available 48-96 hours after online publication and is updated daily on week days.

Initial download of the metrics may take a while.