Open Access

Fig. 10.

image

Download original image

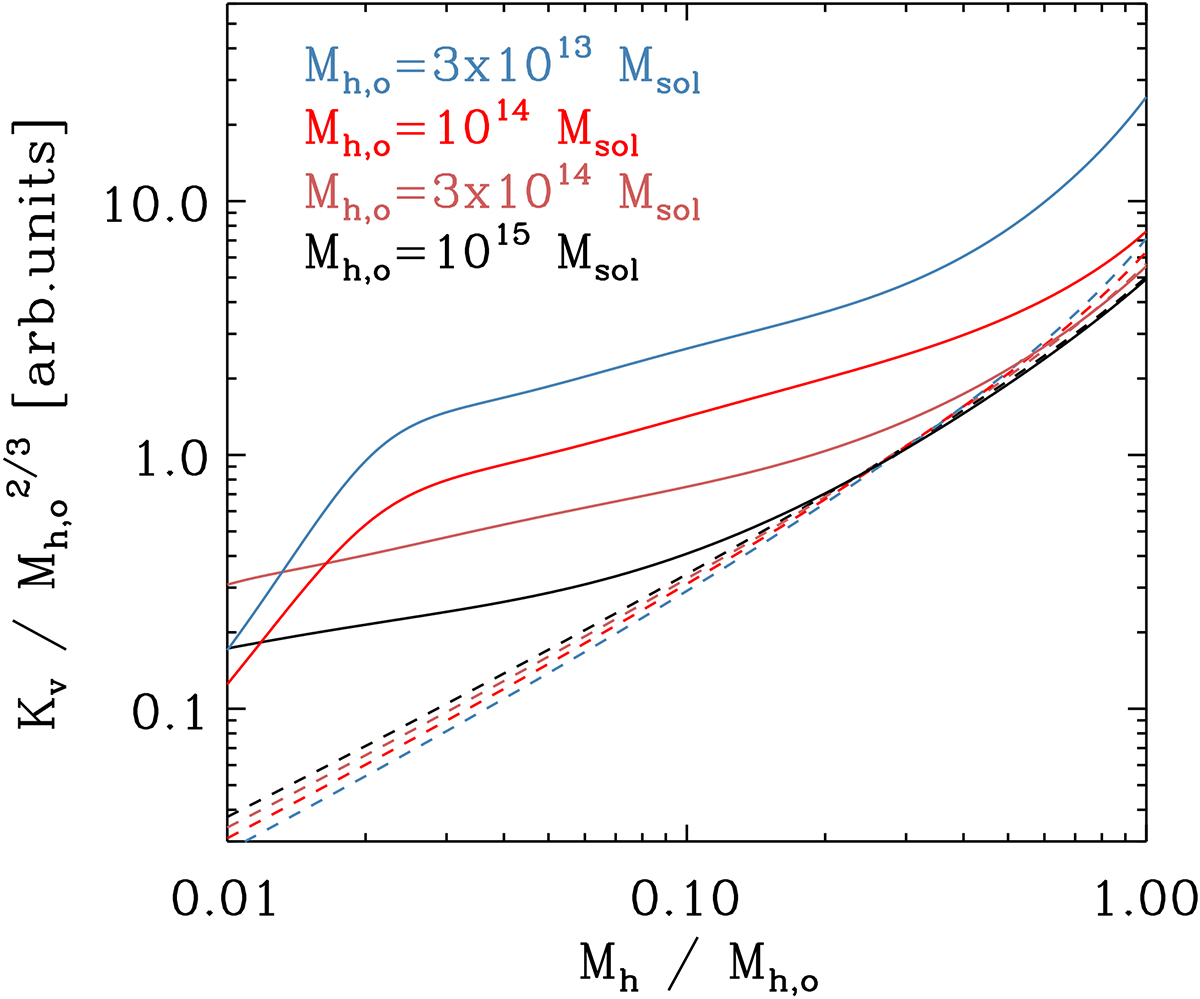
Rescaled entropy versus halo mass relation for four halos of 3 ⋅ 1013 M, 1014 M, 3 ⋅ 1014 M, and 1015 M at z = 0 respectively. Filled lines have been computed assuming fg follows Eq. (18), dashed ones assuming fg = fb. We note how baryon decoupling produces a break in self-similarity. The change in slope observed at small Mh/Mh, o values for the 3 ⋅ 1013 M and 1014 M at z = 0 halos is associated to the minimum in M g ˙ $ \dot{M_{\mathrm{g}}} $, see Fig. 9. In the case of 3 ⋅ 1014 M and 1015 M at z = 0 profiles, the minimum occurs at smaller Mh/Mh, o values and falls outside the plotted range.

Current usage metrics show cumulative count of Article Views (full-text article views including HTML views, PDF and ePub downloads, according to the available data) and Abstracts Views on Vision4Press platform.

Data correspond to usage on the plateform after 2015. The current usage metrics is available 48-96 hours after online publication and is updated daily on week days.

Initial download of the metrics may take a while.