Open Access

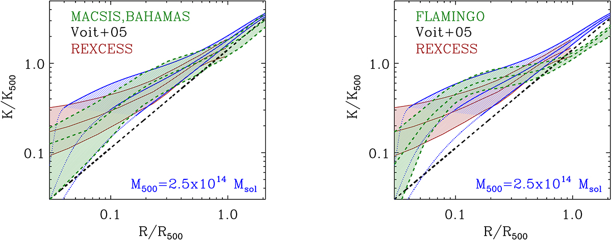
Fig. 22.

image

Download original image

Left panel: Radial entropy profiles for the combined sample extracted from the MACSIS and BAHAMAS simulations (Barnes et al. 2017) compared with the one derived from our model for M500 = 2.5 × 1014 M and with the observed REXCESS profile. Right panel: Radial entropy profiles from the FLAMINGO simulation for objects in the M500 = 1014 − 1014.5 M mass bin compared with the one derived from our model for M500 = 2.5 × 1014 M and with the observed REXCESS profile.

Current usage metrics show cumulative count of Article Views (full-text article views including HTML views, PDF and ePub downloads, according to the available data) and Abstracts Views on Vision4Press platform.

Data correspond to usage on the plateform after 2015. The current usage metrics is available 48-96 hours after online publication and is updated daily on week days.

Initial download of the metrics may take a while.