Open Access

Fig. F.1

image

Download original image

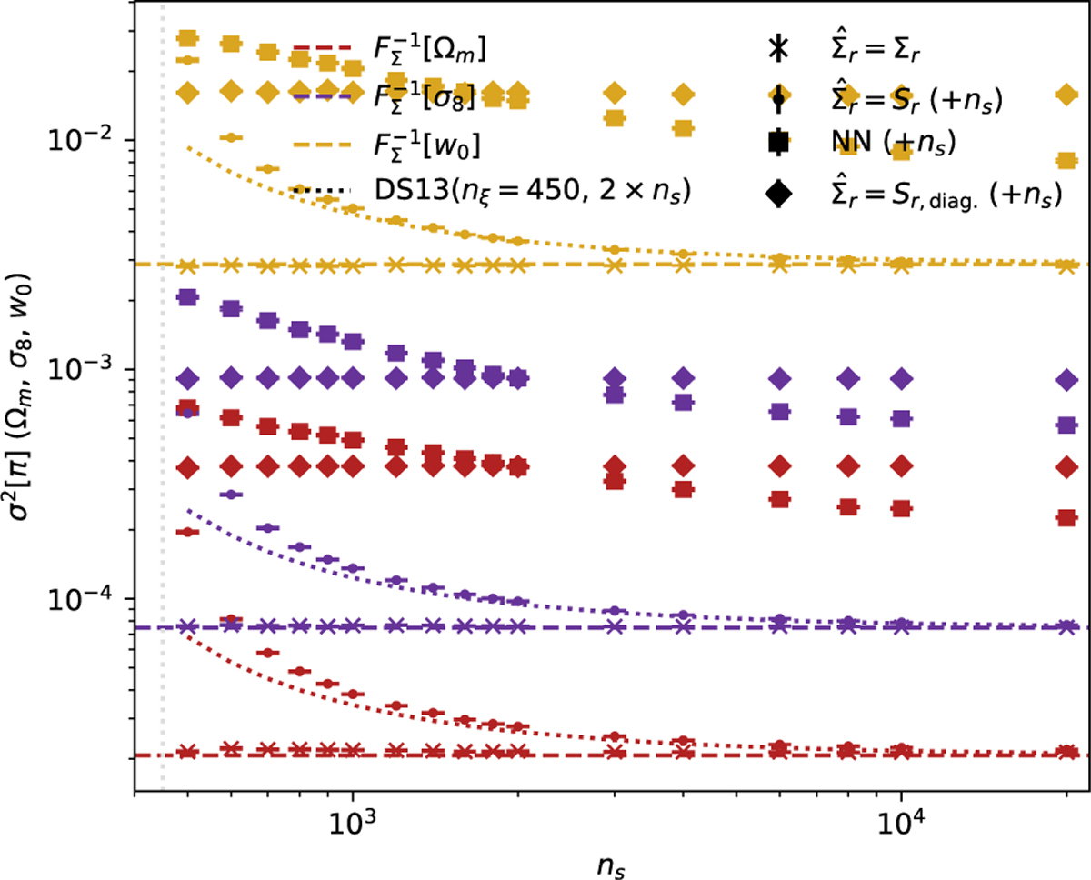
Average model parameter posterior variance conditioned on noisy datavectors estimated with Neural Posterior Estimation using a masked autoregressive flow. The same marginal Fisher variances, DS13 factors and compression methods are used for this plot as in Fig. 2. These results depend on using Σr as the true covariance (see Sect. 5) for the data generating process. When the true data covariance is not known and has significant non-diagonal elements (r = 0.2; see Appendix F), the compression using either a neural network fψ or an estimate of the diagonal elements Sdiag. of the covariance in a linear compression fails catastrophically.

Current usage metrics show cumulative count of Article Views (full-text article views including HTML views, PDF and ePub downloads, according to the available data) and Abstracts Views on Vision4Press platform.

Data correspond to usage on the plateform after 2015. The current usage metrics is available 48-96 hours after online publication and is updated daily on week days.

Initial download of the metrics may take a while.