Open Access

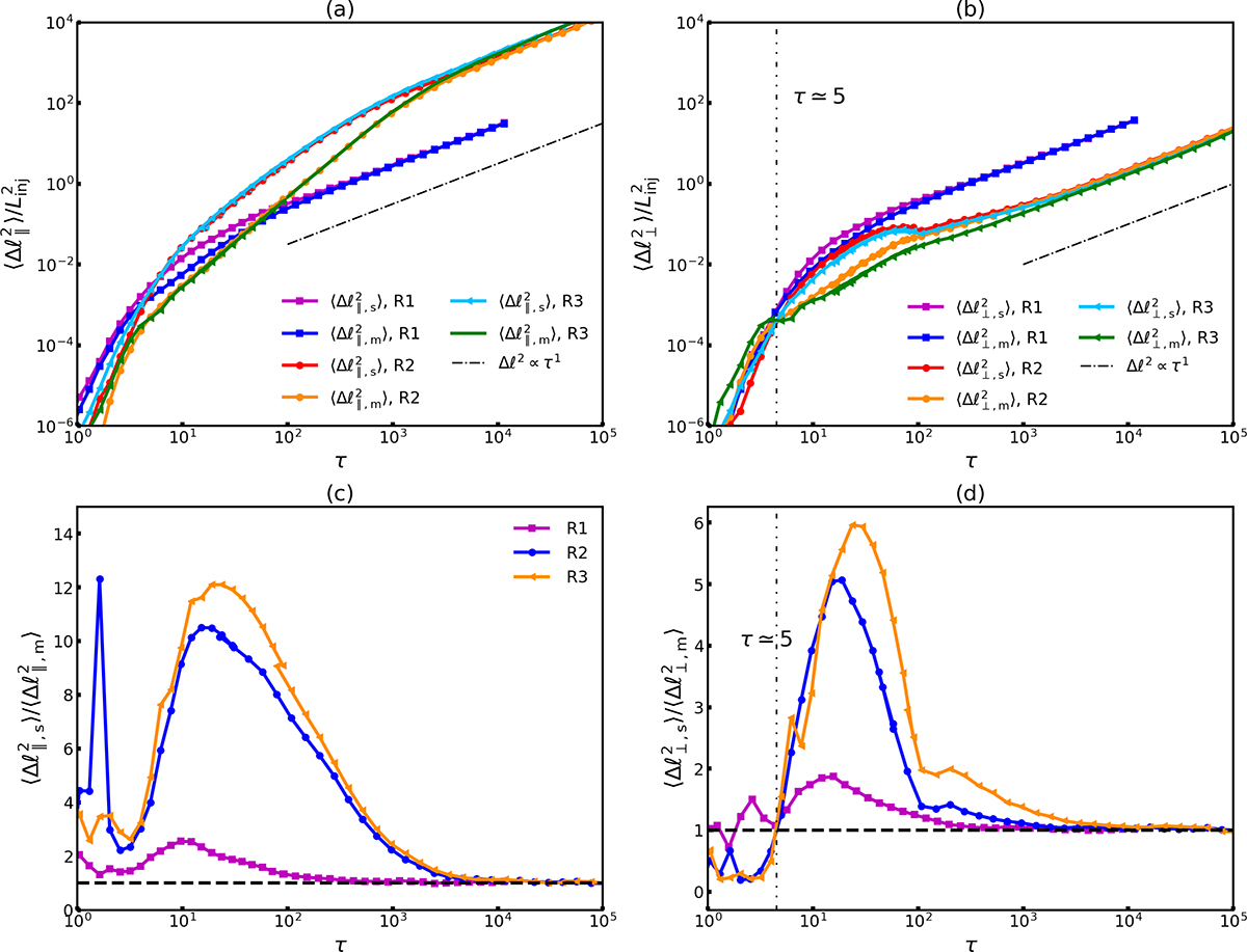
Fig. 3.

image

Download original image

Upper panels: Mean square displacement traveled by overall initially mirroring and scattering particles vs. the time (normalized by the gyrofrequency Ω) in the parallel (panel a) and perpendicular (panel b) directions with respect to the mean magnetic fields. Lower panels: Ratio of the parallel (panel c) to perpendicular (panel d) mean square displacement between the initially scattering and mirroring particles. The initial pitch angle values are set to μ0∈[0.1,0.2] and μ0∈[0.8,0.9] for initially mirroring and scattering particles, respectively. The Larmor radius of particles is Rg = 0.03Linj.

Current usage metrics show cumulative count of Article Views (full-text article views including HTML views, PDF and ePub downloads, according to the available data) and Abstracts Views on Vision4Press platform.

Data correspond to usage on the plateform after 2015. The current usage metrics is available 48-96 hours after online publication and is updated daily on week days.

Initial download of the metrics may take a while.