Open Access

Fig. 5.

image

Download original image

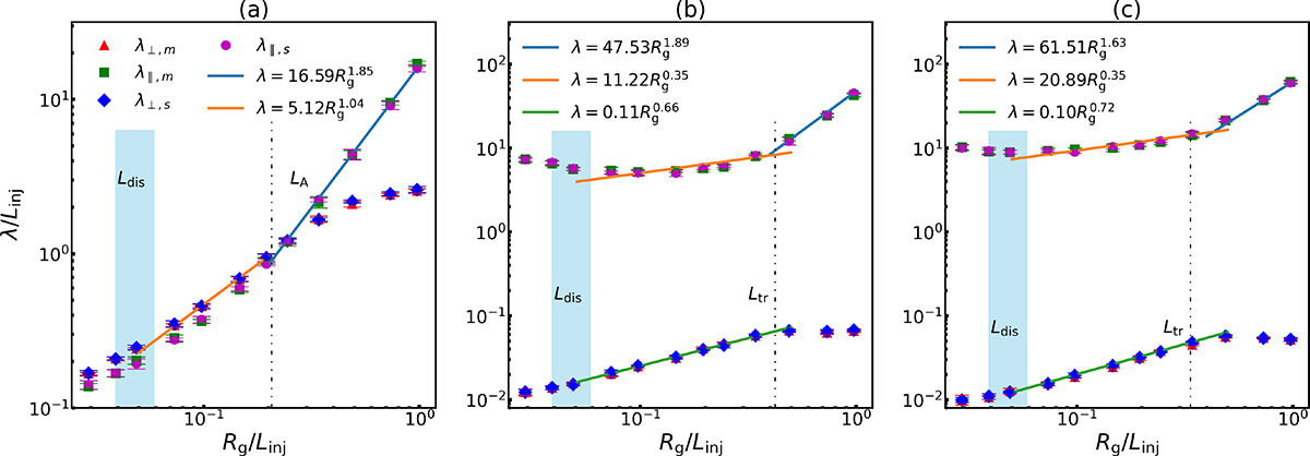
MFPs of mirroring and scattering particles measured at different CR energies. The initial pitch angle values are set to μ0∈[0.1,0.2] and μ0∈[0.8,0.9] for mirroring and scattering particles, respectively. The results in panels a, b, and c are based on the R1, R2, and R3 listed in Table 1, respectively. The different symbols denote the numerical results, and the solid lines are a linear fitting for them. The vertical dash-dotted lines indicate the transition scales. The blue area plotted in each panel represents the dissipation scales estimated by the power spectra of the magnetic field.

Current usage metrics show cumulative count of Article Views (full-text article views including HTML views, PDF and ePub downloads, according to the available data) and Abstracts Views on Vision4Press platform.

Data correspond to usage on the plateform after 2015. The current usage metrics is available 48-96 hours after online publication and is updated daily on week days.

Initial download of the metrics may take a while.