Open Access

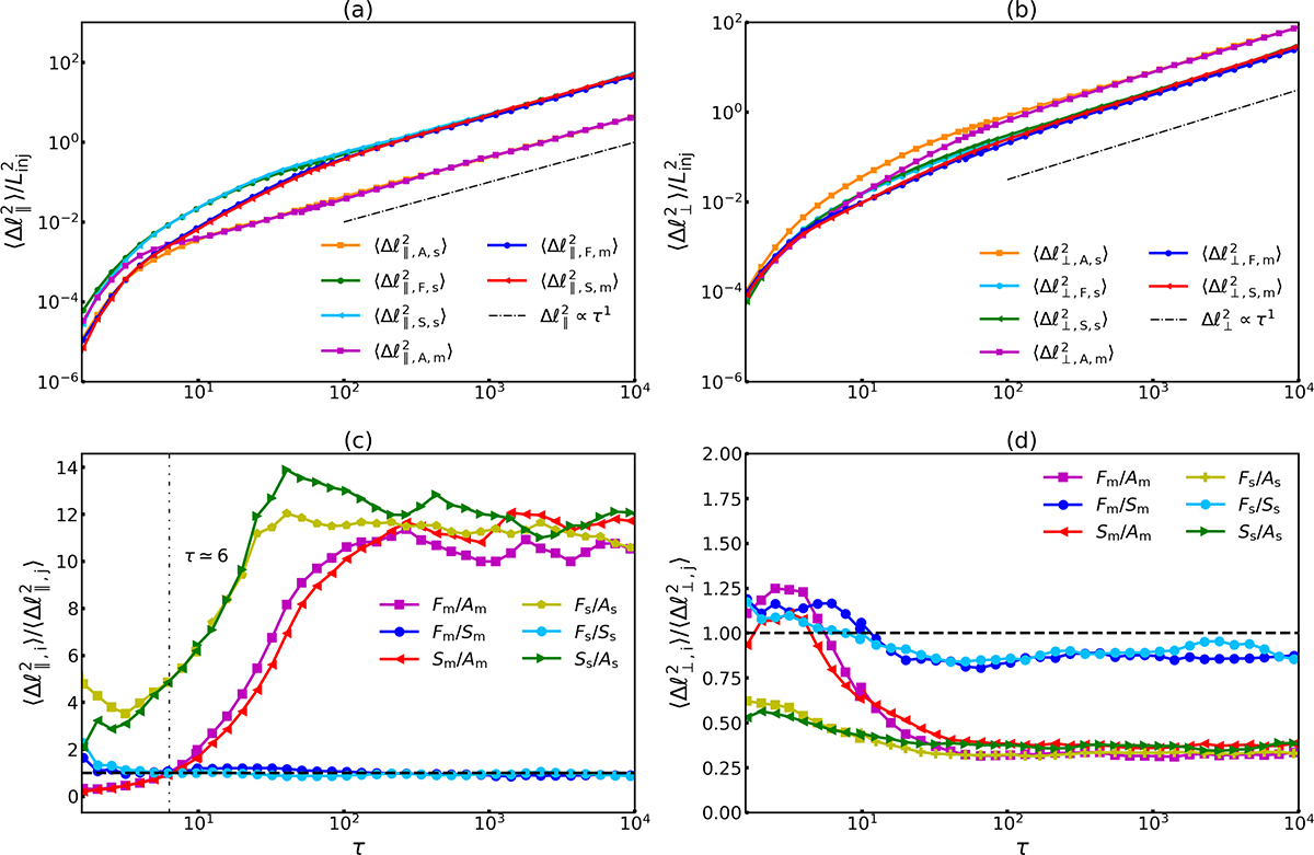
Fig. 7.

image

Download original image

Upper panels: Mean square displacement of the parallel (left) and perpendicular (right) diffusion of the initially mirroring and scattering particles vs. the time (normalized by Ω) for the Alfvén (A), fast (F), and slow (S) modes. Lower panels: Ratio of the parallel (left) to perpendicular (right) mean square displacement between their three plasma modes. The subscripts i and j represent any two of Alfvén, fast, and slow modes. The simulations with the Larmor radius of Rg = 0.03Linj are based on the decomposed R1 data. The μ values for initially mirroring and scattering particles are set to μ0∈[0.1,0.2] and μ0∈[0.8,0.9], respectively.

Current usage metrics show cumulative count of Article Views (full-text article views including HTML views, PDF and ePub downloads, according to the available data) and Abstracts Views on Vision4Press platform.

Data correspond to usage on the plateform after 2015. The current usage metrics is available 48-96 hours after online publication and is updated daily on week days.

Initial download of the metrics may take a while.