Press Release
Open Access

Fig. 4.

image

Download original image

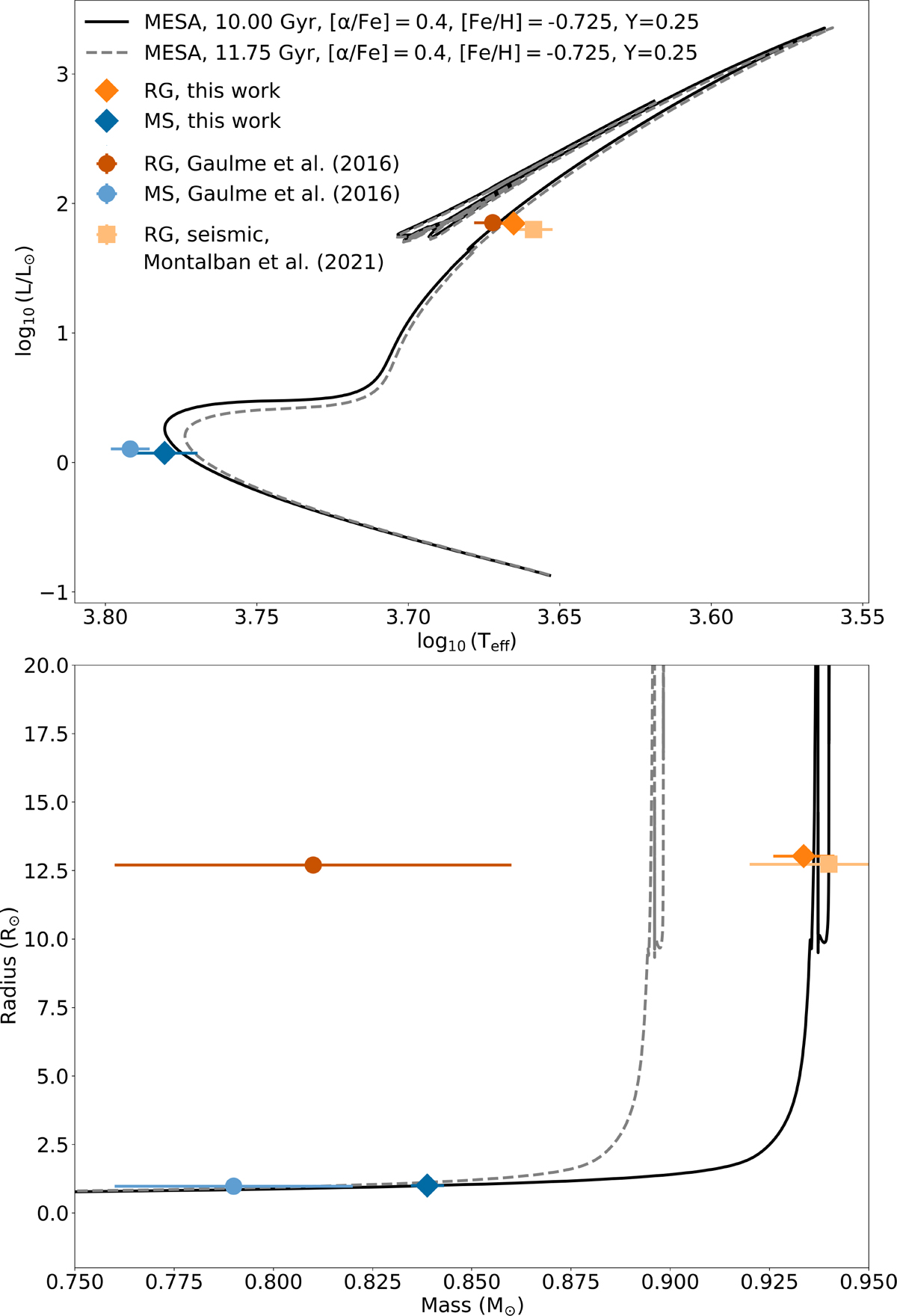
Top: Hertzsprung-Russell diagram with the luminosity of the RG and MS from the eclipsing binary radius and the IRFM temperature (this work). The two isochrones shown were calculated from the MESA grid of stellar models used in this paper. We also include eclipsing binary measurements from Gaulme et al. (2016) and the asteroseismic inference of the RG from Montalbán et al. (2021). Bottom: Mass and radius of the same sources, along with the same isochrones. All markers have error bars in x and y, but in some cases, they are smaller than the marker.

Current usage metrics show cumulative count of Article Views (full-text article views including HTML views, PDF and ePub downloads, according to the available data) and Abstracts Views on Vision4Press platform.

Data correspond to usage on the plateform after 2015. The current usage metrics is available 48-96 hours after online publication and is updated daily on week days.

Initial download of the metrics may take a while.