Open Access

Fig. 3.

image

Download original image

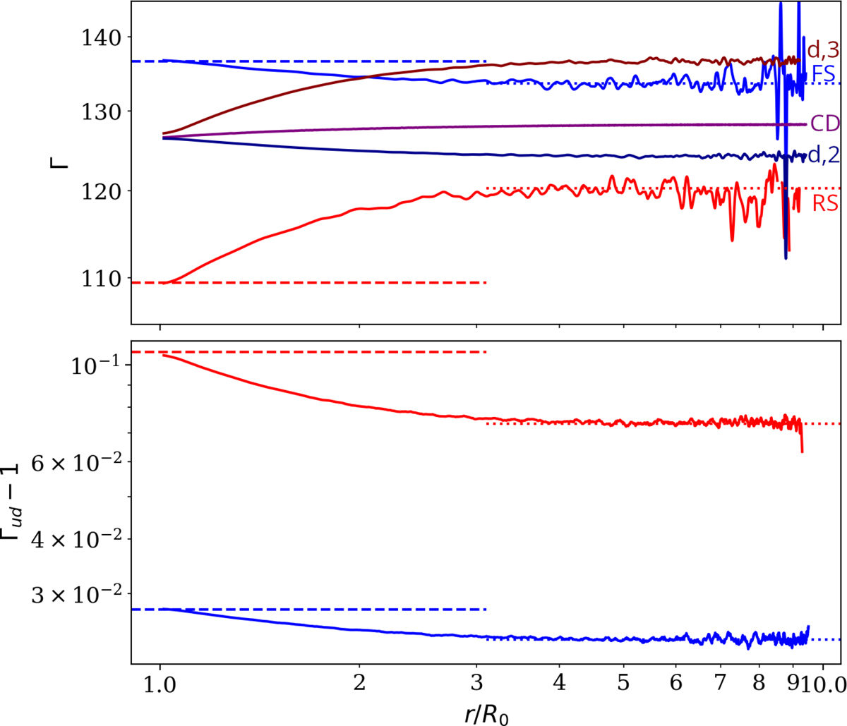
Top: Lorentz factors of the shock fronts, the fluid downstream of the shocks and at the CD with radius. Bottom: evolution of shock strengths with radius. Data were smoothed by rolling average. The quantities converge smoothly to a constant value after r≈4R0, shown by the dotted horizontal line for the quantities relative to the RS and the FS. Legend is the same as in Fig. 2.

Current usage metrics show cumulative count of Article Views (full-text article views including HTML views, PDF and ePub downloads, according to the available data) and Abstracts Views on Vision4Press platform.

Data correspond to usage on the plateform after 2015. The current usage metrics is available 48-96 hours after online publication and is updated daily on week days.

Initial download of the metrics may take a while.