Open Access

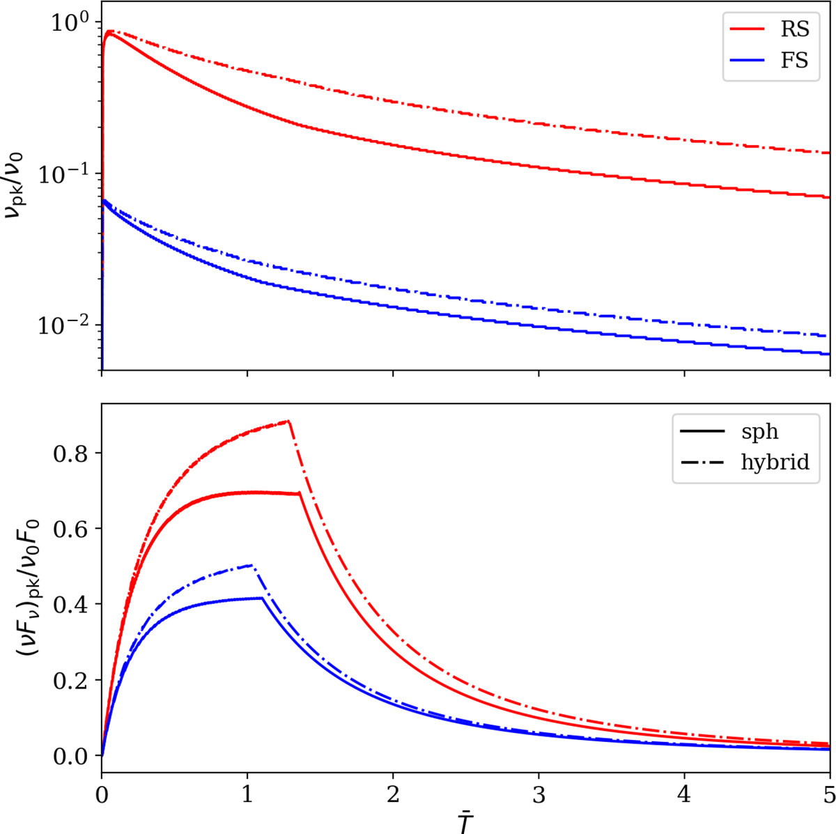
Fig. 6.

image

Download original image

Normalized time evolution of peak frequency and flux for both shock fronts in the spherical (full line) and hybrid (dash-dotted) cases, calculated from the flux obtained with the Band spectral shape. In spherical geometry, the peak frequency decrease at a faster rate during the rising phase and the flux reaches saturation before the break to the high-latitude emission.

Current usage metrics show cumulative count of Article Views (full-text article views including HTML views, PDF and ePub downloads, according to the available data) and Abstracts Views on Vision4Press platform.

Data correspond to usage on the plateform after 2015. The current usage metrics is available 48-96 hours after online publication and is updated daily on week days.

Initial download of the metrics may take a while.