Open Access

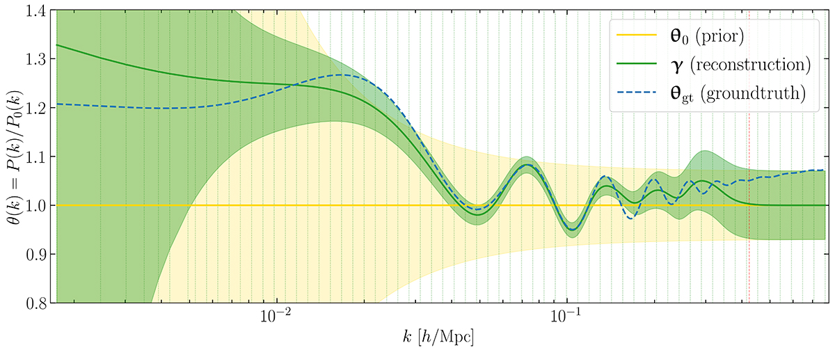
Fig. C.1.

image

Download original image

Wiggle-less prior and corresponding SELFI posterior on the initial matter power spectrum θ. The prior mean θ0, also used as expansion point, is indicated by the yellow line; its 2σ credible region corresponds to the yellow-shaded area. The posterior mean γ and 2σ credible region correspond to the green line and shaded area. The ground truth θgt is indicated by the solid blue line. The dashed red line denotes the Nyquist frequency. Even though the prior contains no information about the BAOs, the SELFI posterior is consistently unbiased across all scales and accurately retrieves the oscillations up to k ≃ 0.2 h/Mpc.

Current usage metrics show cumulative count of Article Views (full-text article views including HTML views, PDF and ePub downloads, according to the available data) and Abstracts Views on Vision4Press platform.

Data correspond to usage on the plateform after 2015. The current usage metrics is available 48-96 hours after online publication and is updated daily on week days.

Initial download of the metrics may take a while.