Open Access

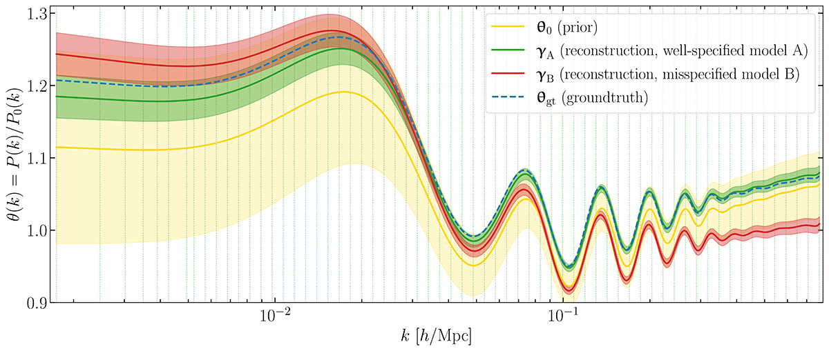
Fig. 7.

image

Download original image

Prior and SELFI posteriors for the initial matter power spectrum θ given the observations ΦO. The ground truth θgt is indicated by the dashed blue line. The prior and posterior means, θ0, γA and γB, are represented respectively by the yellow, green and red lines, along with their 2σ credible regions (shaded yellow, green, and red areas). The vertical dashed lines indicate the support wave numbers for the initial matter power spectrum representation. The posterior obtained with the well-specified Model A is unbiased over all scales, whilst the posterior obtained with the misspecified Model B exhibits an excess and a lack of power at the largest and smallest scales, respectively.

Current usage metrics show cumulative count of Article Views (full-text article views including HTML views, PDF and ePub downloads, according to the available data) and Abstracts Views on Vision4Press platform.

Data correspond to usage on the plateform after 2015. The current usage metrics is available 48-96 hours after online publication and is updated daily on week days.

Initial download of the metrics may take a while.