Open Access

Fig. 1

image

Download original image

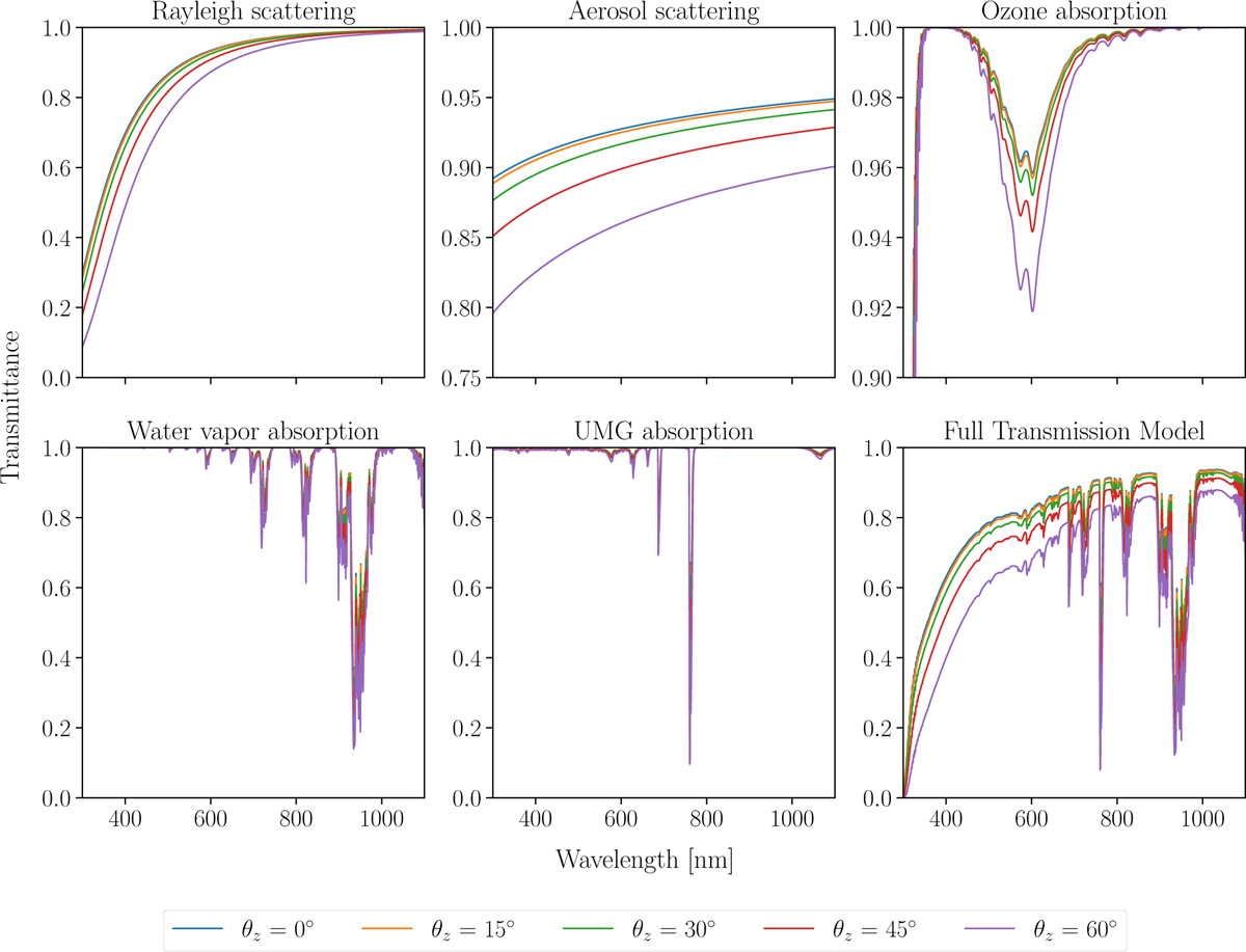
Transmittance of each atmospheric component at different zenith angles. The panels in the top row show from left to right the transmittance for Rayleigh scattering, aerosol scattering and ozone absorption. In the bottom panels, left to right panels are the transmittance of the absorption by water vapor, absorption by the uniform mixture of gases, and the product of all atmospheric components.

Current usage metrics show cumulative count of Article Views (full-text article views including HTML views, PDF and ePub downloads, according to the available data) and Abstracts Views on Vision4Press platform.

Data correspond to usage on the plateform after 2015. The current usage metrics is available 48-96 hours after online publication and is updated daily on week days.

Initial download of the metrics may take a while.