Open Access

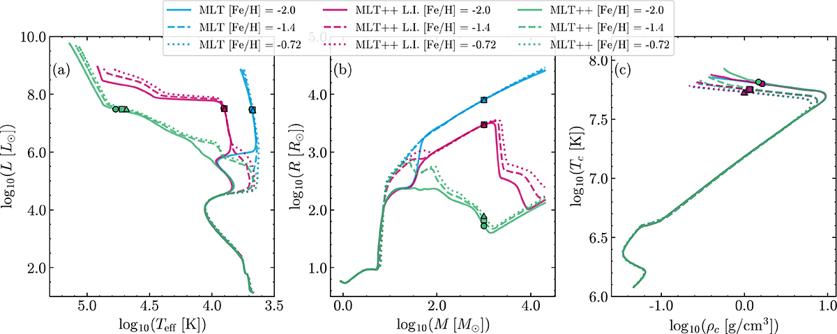
Fig. 1.

image

Download original image

Evolution of the key properties of the accreting models starting from 0.7 M and reaching 2×104M (the circles, squares and triangles indicate the points at which the accreting models reach a mass of 1000 M for reference). The models are computed with the same accretion rate and no mass loss, for the reasons discussed in the text.

Current usage metrics show cumulative count of Article Views (full-text article views including HTML views, PDF and ePub downloads, according to the available data) and Abstracts Views on Vision4Press platform.

Data correspond to usage on the plateform after 2015. The current usage metrics is available 48-96 hours after online publication and is updated daily on week days.

Initial download of the metrics may take a while.