Open Access

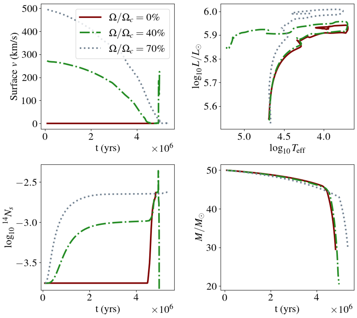
Fig. A.2.

image

Download original image

Surface rotation (top left), HRD (top right), surface 14N evolution (bottom left), and mass evolution (bottom right) of 50 M models at ZSMC for a range of critical rotation rates (0% in solid red lines, 40% in dash-dotted green lines, and 70% in dotted grey lines).

Current usage metrics show cumulative count of Article Views (full-text article views including HTML views, PDF and ePub downloads, according to the available data) and Abstracts Views on Vision4Press platform.

Data correspond to usage on the plateform after 2015. The current usage metrics is available 48-96 hours after online publication and is updated daily on week days.

Initial download of the metrics may take a while.