Open Access

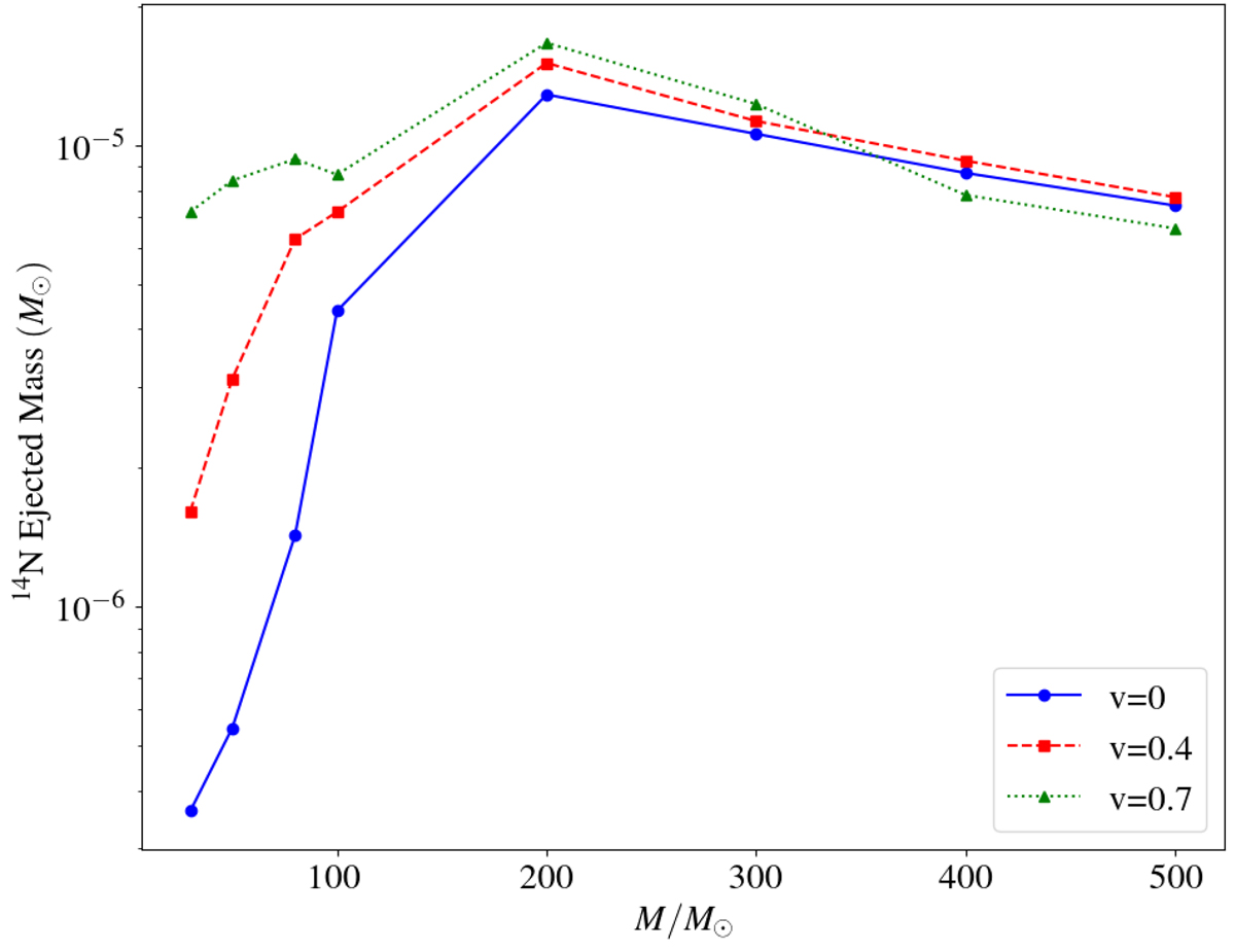
Fig. 6.

image

Download original image

Initial mass function-weighted ejected masses of 14N as a function of initial mass, presented in solar masses, calculated at ZSMC for the core H-burning phase. Each coloured line illustrates a different rotation rate. Non-rotating models are shown in blue, 40% critically rotating models are in red, and 70% critically rotating models are in green.

Current usage metrics show cumulative count of Article Views (full-text article views including HTML views, PDF and ePub downloads, according to the available data) and Abstracts Views on Vision4Press platform.

Data correspond to usage on the plateform after 2015. The current usage metrics is available 48-96 hours after online publication and is updated daily on week days.

Initial download of the metrics may take a while.