Open Access

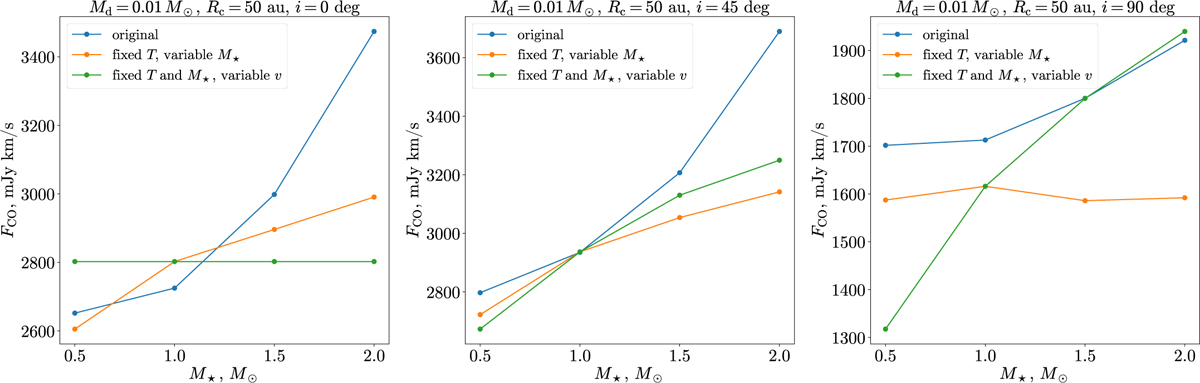
Fig. B.1

image

Download original image

Dependence of the CO flux on the stellar mass for three inclinations. Left panel: i = 0°. Middle panel: i = 45°. Right panel: i = 90°. Three types of models are considered: original, with grain-surface chemistry, from Table A.1; models where temperature and luminosity of the star were fixed to T = 4000 K and L = 1 L; models where only velocity field was adjusted to stellar mass.

Current usage metrics show cumulative count of Article Views (full-text article views including HTML views, PDF and ePub downloads, according to the available data) and Abstracts Views on Vision4Press platform.

Data correspond to usage on the plateform after 2015. The current usage metrics is available 48-96 hours after online publication and is updated daily on week days.

Initial download of the metrics may take a while.