Open Access

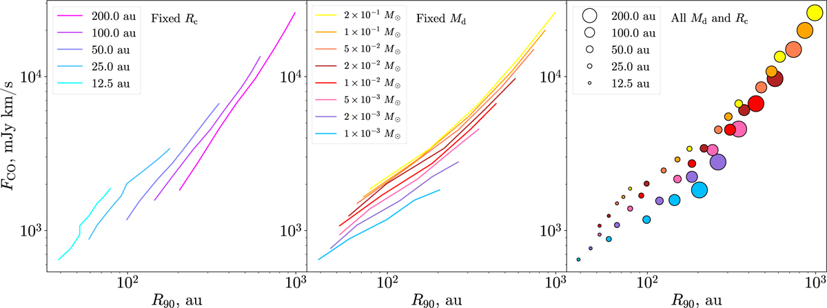
Fig. 5

image

Download original image

Dependences of the CO line fluxes on the R90 at disk inclination i = 0° and stellar mass M = 1 M. The left panel presents the dependences of fixed Rc, middle presents those of the fixed Md, and the right shows models of all Rc and Md differentiated by shade and size.

Current usage metrics show cumulative count of Article Views (full-text article views including HTML views, PDF and ePub downloads, according to the available data) and Abstracts Views on Vision4Press platform.

Data correspond to usage on the plateform after 2015. The current usage metrics is available 48-96 hours after online publication and is updated daily on week days.

Initial download of the metrics may take a while.