Open Access

Fig. 13.

image

Download original image

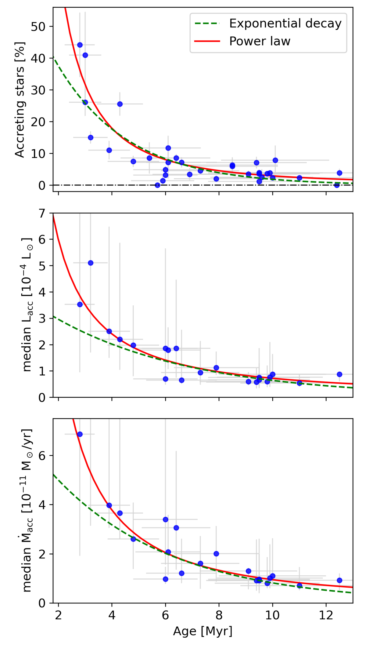
Evolution of accretion in Sco-Cen clusters with age. Each point represents one of the 34 Sco-Cen clusters whose ages were calculated in Ratzenböck et al. (2023b). The ages shown here are the Baraffe et al. (2015) Bp-Rp ages of that work. In each panel, we show two fits: an exponential decay (Eq. (7)) and a power law (Eq. (8)). Top panel: we show the percentage of YSO accretors per cluster facc. The accretion timescale obtained from fitting the exponential is τacc = 2.7 ± 0.4 Myr. Bottom two panels: median accretion luminosity and the median mass accretion rate of the accretors (sources with pEW <  − 1.0 nm) in each cluster. Only the cluster members with stellar mass in the range 0.08 < M < 0.25 M were considered for the medians, to remove dependencies with stellar mass. Only clusters with four or more accretors in this mass range were considered. All fit parameters are reported in Table 5.

Current usage metrics show cumulative count of Article Views (full-text article views including HTML views, PDF and ePub downloads, according to the available data) and Abstracts Views on Vision4Press platform.

Data correspond to usage on the plateform after 2015. The current usage metrics is available 48-96 hours after online publication and is updated daily on week days.

Initial download of the metrics may take a while.