Open Access

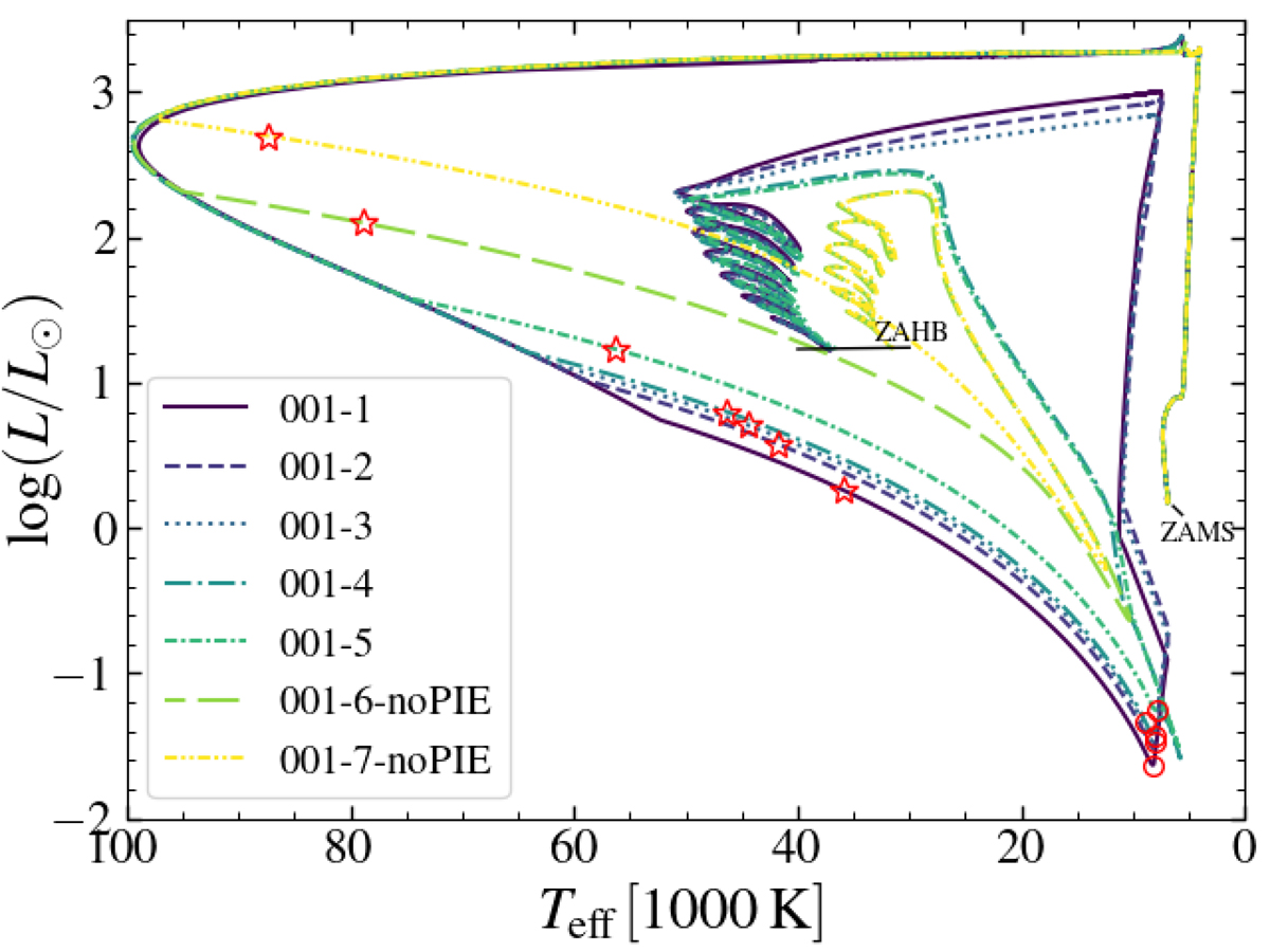
Fig. 1.

image

Download original image

Hertzsprung-Russel diagram of the evolutionary sequences with initial metallicity z = 0.001 from the zero-age main sequence (ZAMS) to the zero-age horizontal branch (ZAHB). See Table 1 for details about the different evolutionary sequences. The red stars mark the location of the peak of the He flash for each sequence. The red circles mark the maximum energy liberation of CNO burning in those sequences that experience a PIE.

Current usage metrics show cumulative count of Article Views (full-text article views including HTML views, PDF and ePub downloads, according to the available data) and Abstracts Views on Vision4Press platform.

Data correspond to usage on the plateform after 2015. The current usage metrics is available 48-96 hours after online publication and is updated daily on week days.

Initial download of the metrics may take a while.