Open Access

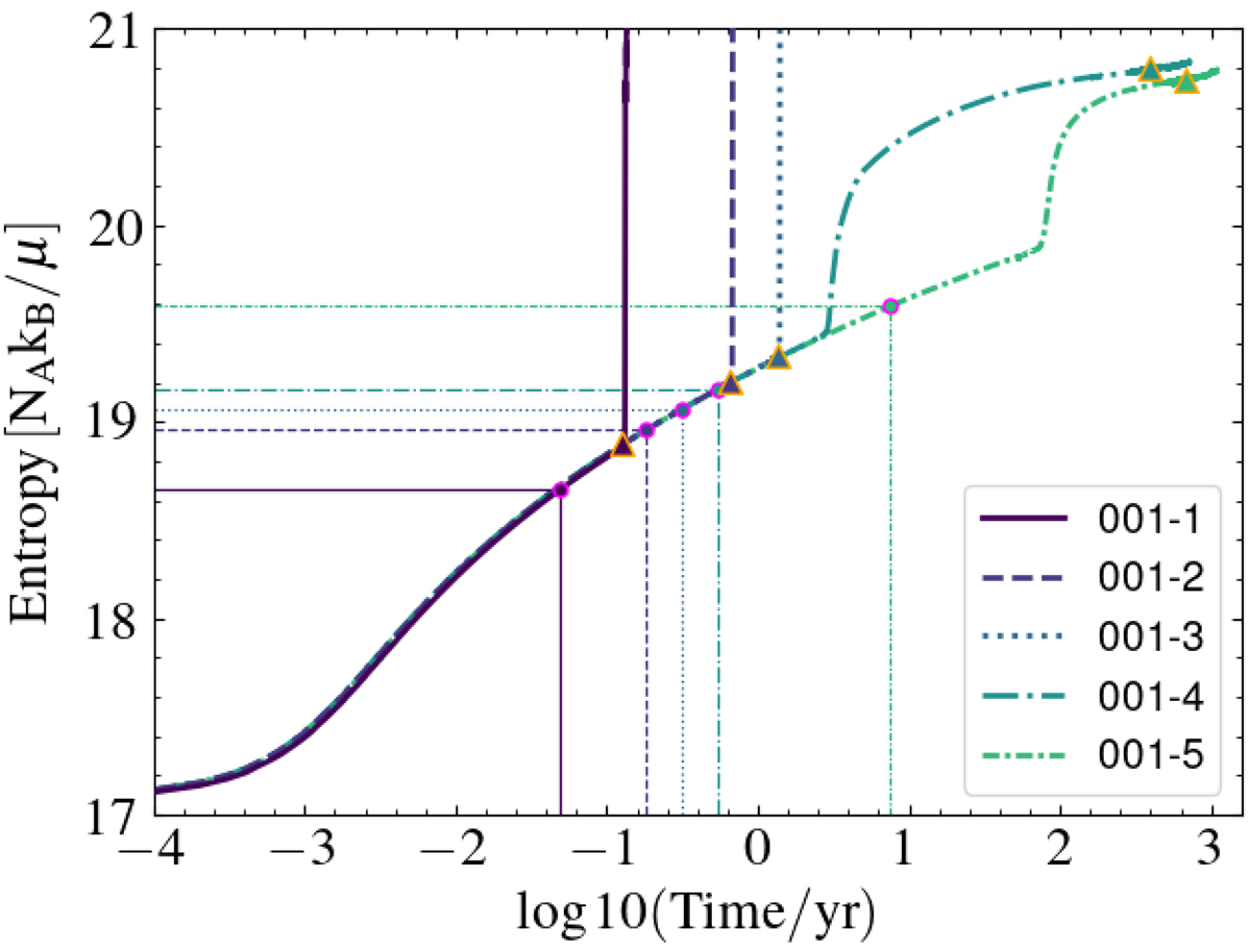
Fig. 10.

image

Download original image

Evolution of the specific entropy at the He-flash convective zone of our models with initial metallicity z = 0.001. The thin horizontal lines mark the entropy at the envelope of the models and the thin vertical lines correspond to the moment of the onset of the PIE in each model, marked also with magenta circles. The orange triangles correspond to the splitting of the convective zone in each model.

Current usage metrics show cumulative count of Article Views (full-text article views including HTML views, PDF and ePub downloads, according to the available data) and Abstracts Views on Vision4Press platform.

Data correspond to usage on the plateform after 2015. The current usage metrics is available 48-96 hours after online publication and is updated daily on week days.

Initial download of the metrics may take a while.