Open Access

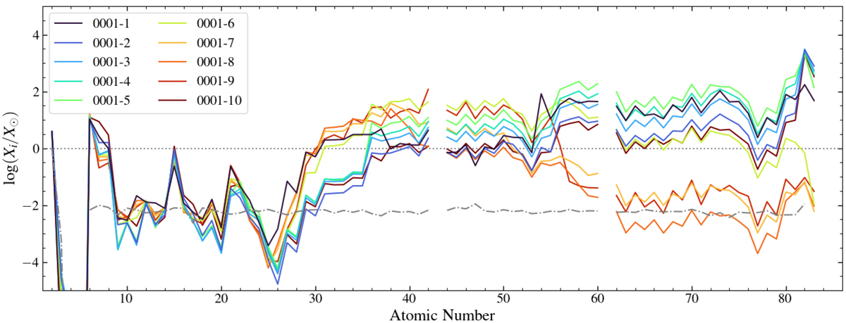
Fig. 13.

image

Download original image

Abundances per mass fraction respect to solar for the models with initial metallicity z = 0.0001, at the mass shell of the model where the maximum neutron density was reached. The abundances correspond to the last model post-processed with ANT.

Current usage metrics show cumulative count of Article Views (full-text article views including HTML views, PDF and ePub downloads, according to the available data) and Abstracts Views on Vision4Press platform.

Data correspond to usage on the plateform after 2015. The current usage metrics is available 48-96 hours after online publication and is updated daily on week days.

Initial download of the metrics may take a while.