Open Access

Fig. 7.

image

Download original image

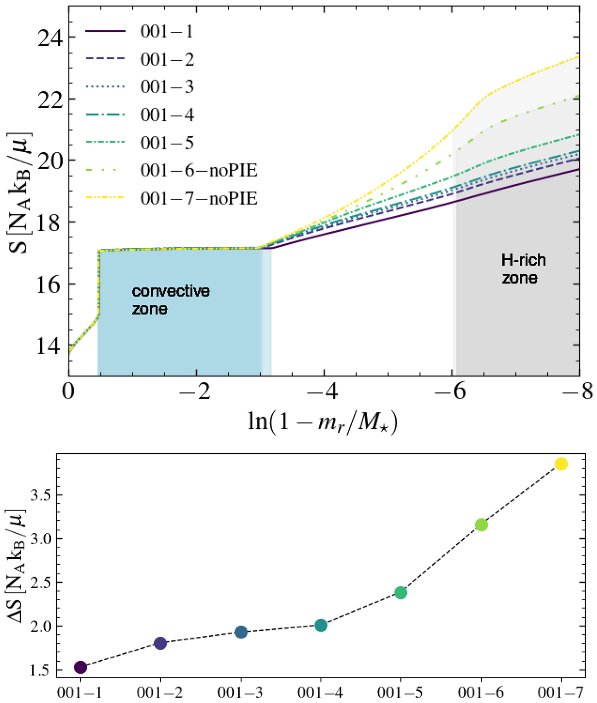
Upper panel: Specific entropy of all models with initial metallicity z = 0.001 at the peak of the He flash. Lower panel: Entropy barrier at the peak of the He flash for the models shown in the upper panel.

Current usage metrics show cumulative count of Article Views (full-text article views including HTML views, PDF and ePub downloads, according to the available data) and Abstracts Views on Vision4Press platform.

Data correspond to usage on the plateform after 2015. The current usage metrics is available 48-96 hours after online publication and is updated daily on week days.

Initial download of the metrics may take a while.