Open Access

Fig. C.1

image

Download original image

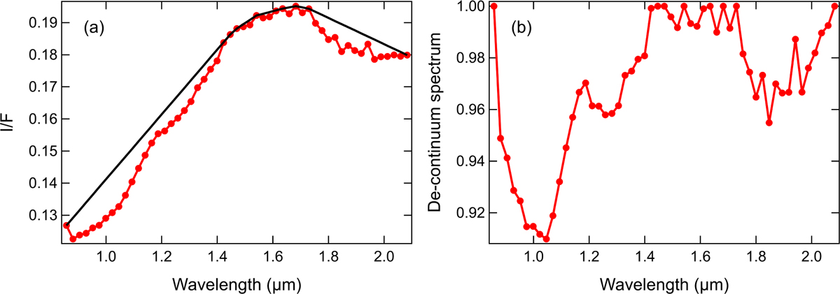
The original Itokawa spectrum (spectral ID 2394652768) and the corresponding continuum-removed spectrum. (a) The photometrically corrected Itokawa spectrum, (red) the continuum obtained by the method described above (black polyline). (b) The continuum-removed spectrum obtained by ratioing the original spectrum and the continuum.

Current usage metrics show cumulative count of Article Views (full-text article views including HTML views, PDF and ePub downloads, according to the available data) and Abstracts Views on Vision4Press platform.

Data correspond to usage on the plateform after 2015. The current usage metrics is available 48-96 hours after online publication and is updated daily on week days.

Initial download of the metrics may take a while.