Open Access

Fig. 7

image

Download original image

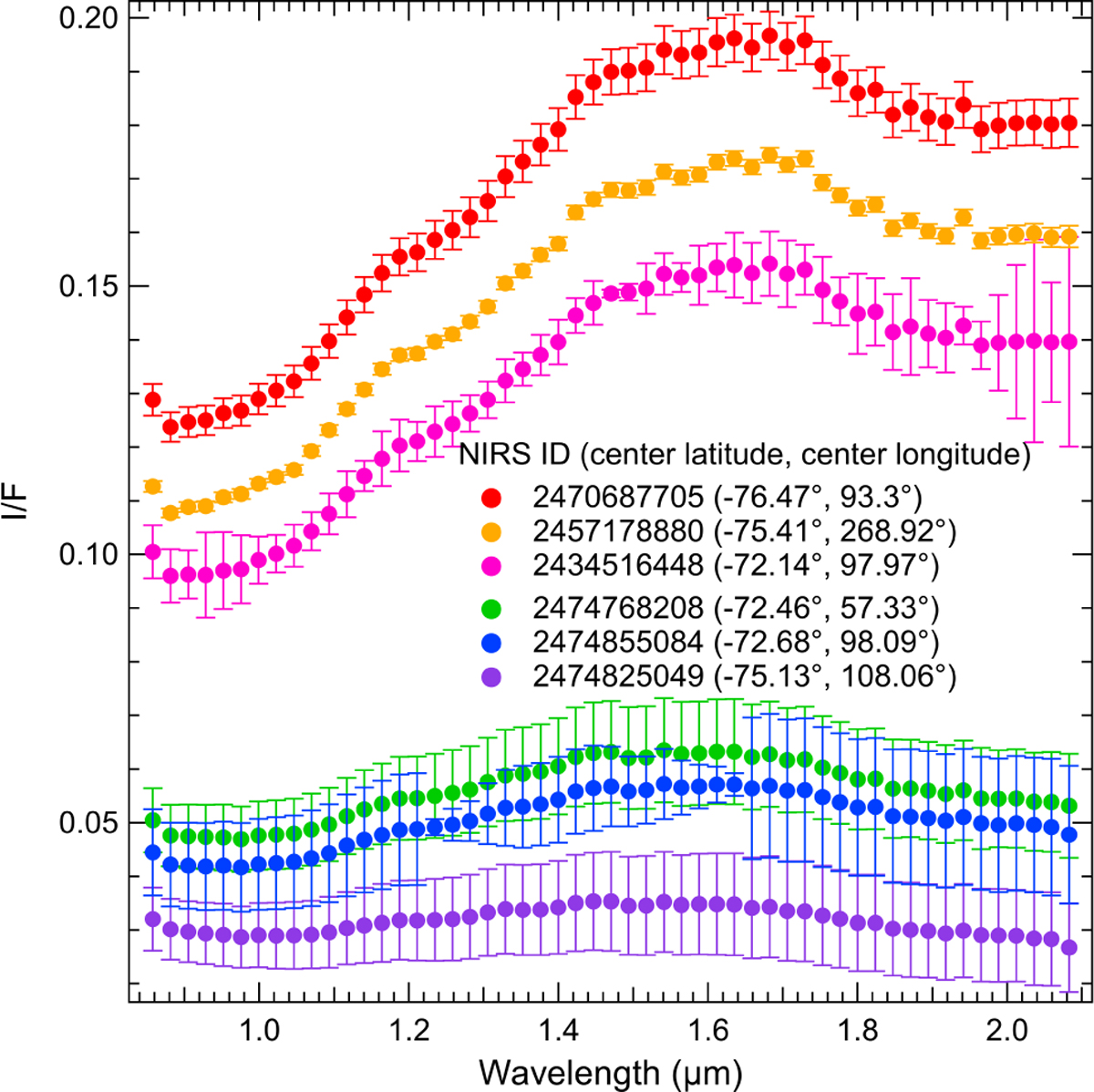
Comparisons between the spectra with normal reflectance values (spectrum IDs 2470687705, 2457178880, and 2434516448) and those with abnormal reflectance values (spectrum IDs 2474768208, 2474855084, and 2474825049) within MUSES-C Regio, where the retrieved regolith sizes are smaller than the global average.

Current usage metrics show cumulative count of Article Views (full-text article views including HTML views, PDF and ePub downloads, according to the available data) and Abstracts Views on Vision4Press platform.

Data correspond to usage on the plateform after 2015. The current usage metrics is available 48-96 hours after online publication and is updated daily on week days.

Initial download of the metrics may take a while.