Open Access

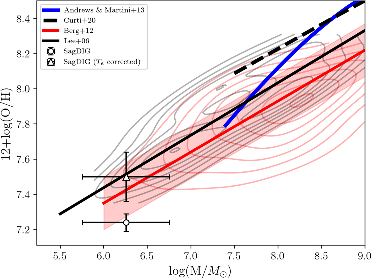
Fig. 12.

image

Download original image

SagDIG in the mass-metallicity plane marked with a white triangle and white dots for the Te corrected and uncorrected oxygen abundance, respectively. The dotted black and solid blue lines are the local Universe Te−based MZR of Curti et al. (2020) and Andrews & Martini (2013). The black and solid red lines represent the low-mass end of the MZR from Lee et al. (2006) and Berg et al. (2012). The contours represent the respective galaxy sample of dIrr galaxies used to fit the low-mass end of the MZR marked with corresponding colours. The dashed red area indicates the respective scatter of σ = 0.15 dex of the Berg et al. (2012) low-mass end of the MZR.

Current usage metrics show cumulative count of Article Views (full-text article views including HTML views, PDF and ePub downloads, according to the available data) and Abstracts Views on Vision4Press platform.

Data correspond to usage on the plateform after 2015. The current usage metrics is available 48-96 hours after online publication and is updated daily on week days.

Initial download of the metrics may take a while.