Open Access

Fig. 2.

image

Download original image

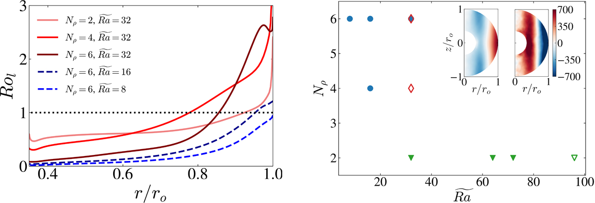
(a) Effect of varying Nρ (in red, Ra/Racr = 32) and Ra (in blue, Nρ = 6) on the local Rossby number calculated based on the convective length scale lconv (3). Dotted line denotes Rol = 1, e.g., a balance between inertia and the Coriolis force. (b) Density contrasts Nρ and Rayleigh numbers Ra $ \widetilde{Ra} $ spanned by simulations in this work. Different symbols denote three dynamical regimes of the flow, discussed in more details in Sect. 3. Filled (empty) triangles, predominantly multipolar fields with solar (anti-solar) differential rotation (Sect. 3.2). Circles, quadrupolar oscillatory dynamos with solar-like differential rotation (Sect. 3.3). Diamonds, reversing dipole-multipole solutions with transitions between three-layered and anti-solar rotation (Sect. 3.4). Solar- and anti-solar differential rotation is shown in the inset plots depicting zonal flows ⟨uϕϕ for Nρ = 2, Ra = 32 $ \widetilde{Ra} = 32 $ (left) and Ra = 96 $ \widetilde{Ra} = 96 $ (right).

Current usage metrics show cumulative count of Article Views (full-text article views including HTML views, PDF and ePub downloads, according to the available data) and Abstracts Views on Vision4Press platform.

Data correspond to usage on the plateform after 2015. The current usage metrics is available 48-96 hours after online publication and is updated daily on week days.

Initial download of the metrics may take a while.