Open Access

Fig. 7.

image

Download original image

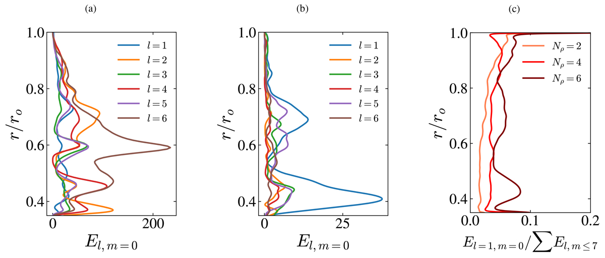
(a,b) Magnetic energy in the first six axisymmetric spherical harmonics (m = 0) as a function of spherical radius r at Nρ = 6, Ra = 32 $ \widetilde{Ra} = 32 $. (a) High-energy state, anti-solar rotation, trot ≈ 6900. (b) Low-energy state, three-layer rotation, trot ≈ 7300. The relative buildup in dipolarity with respect to large scales takes place only during low-energy states with weakened three-layer rotation. (c) The energy in axisymmetric dipole normalized with the total large-scale magnetic energy up to 7th spherical harmonic, ∑El, m ≤ 7, at Ra = 32 $ \widetilde{Ra} = 32 $. The modal energy was averaged over dipolar intervals for Nρ = 4, 6, and over the whole time evolution for Nρ = 2.

Current usage metrics show cumulative count of Article Views (full-text article views including HTML views, PDF and ePub downloads, according to the available data) and Abstracts Views on Vision4Press platform.

Data correspond to usage on the plateform after 2015. The current usage metrics is available 48-96 hours after online publication and is updated daily on week days.

Initial download of the metrics may take a while.