Open Access

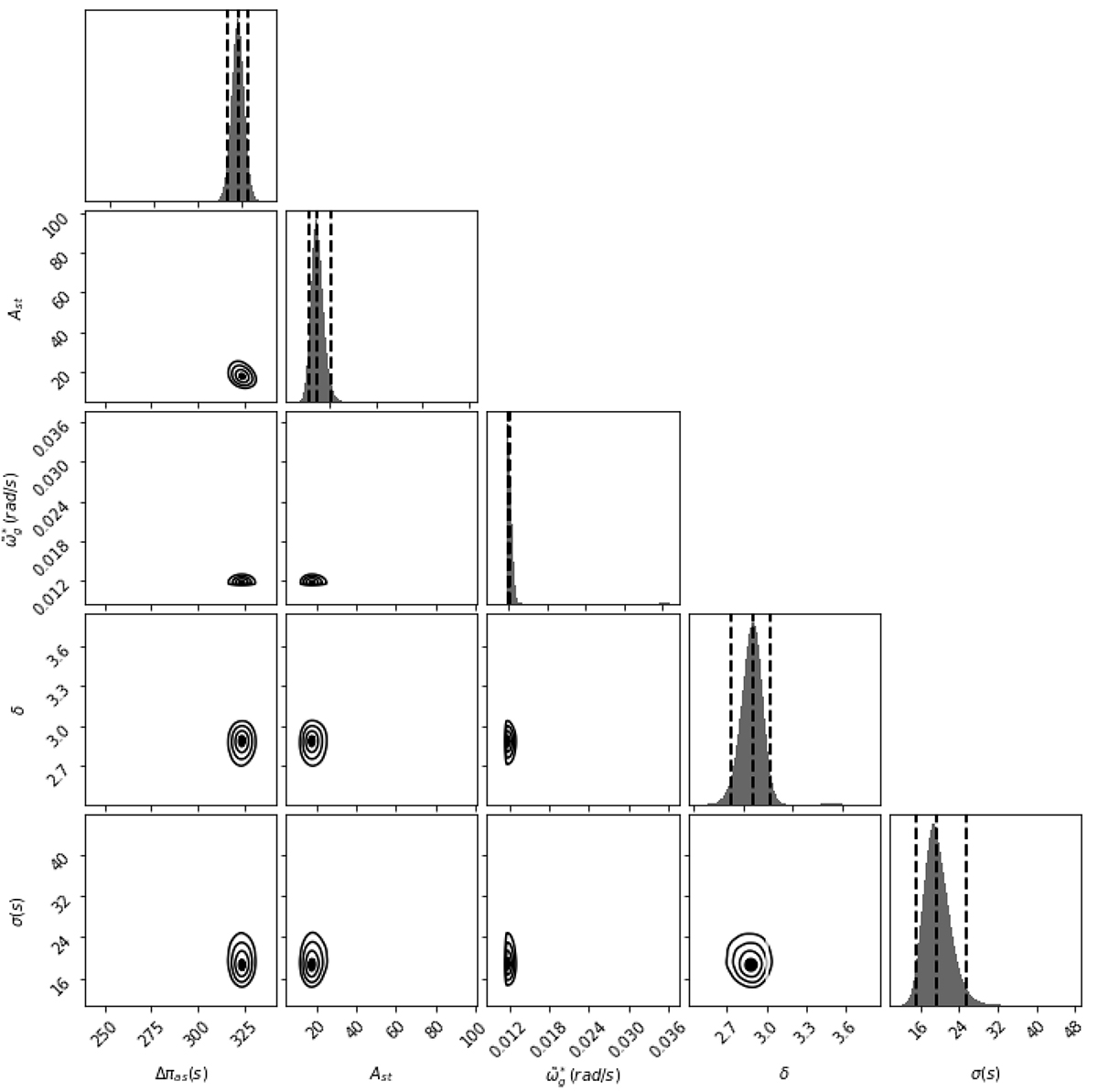
Fig. C.5.

image

Download original image

Posterior distributions for the model parameters resulting from the fit of the analytical model for one step-like glitch to the reduced period spacings computed from the l = 1 and l = 2 modes of KIC 10001893 in the region of periods where data on both mode degrees are available (case J).

Current usage metrics show cumulative count of Article Views (full-text article views including HTML views, PDF and ePub downloads, according to the available data) and Abstracts Views on Vision4Press platform.

Data correspond to usage on the plateform after 2015. The current usage metrics is available 48-96 hours after online publication and is updated daily on week days.

Initial download of the metrics may take a while.