Open Access

Fig. 10

image

Download original image

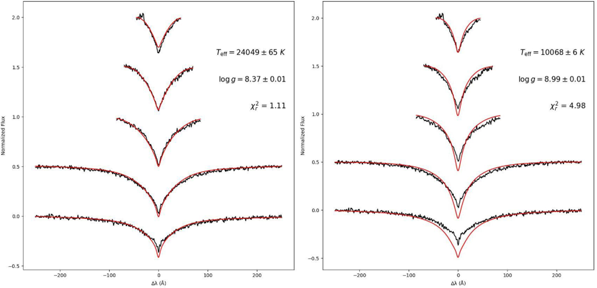
Left panel: best-fit result of the coadded spectrum of WDJ100236.84+023835.03 from wdtools without a temperature limit. Right panel: best-fit result of the coadded spectrum of WDJ100236.84+023835.03 from wdtools with a temperature upper limit of 15 000 K. The results shown in the figure have not been corrected for 3D convective effects. After 3D correction, the results are 9992 K and 8.73, which is close to the results of Manser et al. (2024).

Current usage metrics show cumulative count of Article Views (full-text article views including HTML views, PDF and ePub downloads, according to the available data) and Abstracts Views on Vision4Press platform.

Data correspond to usage on the plateform after 2015. The current usage metrics is available 48-96 hours after online publication and is updated daily on week days.

Initial download of the metrics may take a while.