Open Access

Fig. 2.

image

Download original image

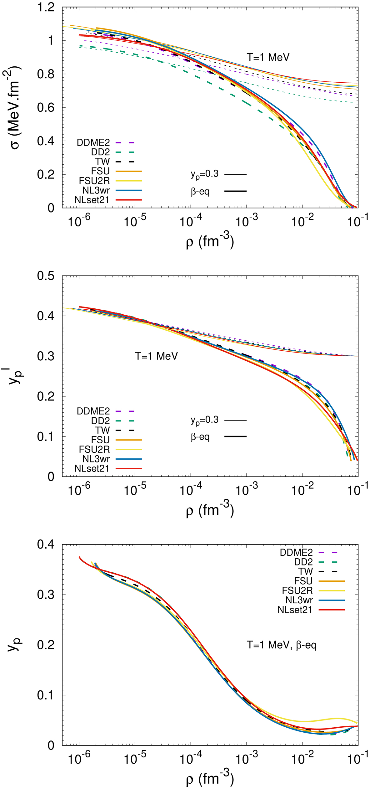
Cluster surface tension, σ (top panel), proton fraction in the dense phase, y p I $ y_p^I $ (middle panel), and global proton fraction, yp (bottom panel) in the inner crust at T = 1 MeV as a function of the total baryon density, ρ, obtained for β-equilibrated matter (thick lines) and matter with fixed proton fraction yp = 0.3 (thin lines in the top and middle panels) for all models considered in this work. The results are obtained without the translational term and the surface parameters are obtained from the fit to the mass table AME2016 (Audi et al. 2017).

Current usage metrics show cumulative count of Article Views (full-text article views including HTML views, PDF and ePub downloads, according to the available data) and Abstracts Views on Vision4Press platform.

Data correspond to usage on the plateform after 2015. The current usage metrics is available 48-96 hours after online publication and is updated daily on week days.

Initial download of the metrics may take a while.