Open Access

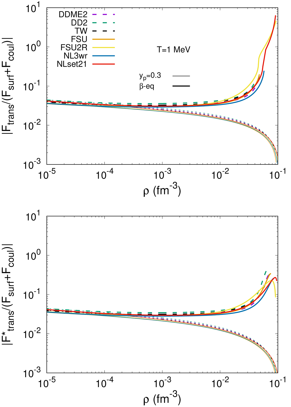
Fig. 3.

image

Download original image

Absolute value of the translational free energy divided by the sum of the Coulomb and surface-energy terms as a function of the total baryon density, ρ, obtained in a CLD calculation with five light clusters at T = 1 MeV in β-equilibrated matter (thick lines) and matter with fixed proton fraction yp = 0.3 (thin lines) for all models considered in this work. The top (bottom) panel is obtained with the translational term of ideal gas, Ftrans (with the corrections on finite-size and in-medium effects, F trans $ F^{\star }_{\mathrm {trans}} $).

Current usage metrics show cumulative count of Article Views (full-text article views including HTML views, PDF and ePub downloads, according to the available data) and Abstracts Views on Vision4Press platform.

Data correspond to usage on the plateform after 2015. The current usage metrics is available 48-96 hours after online publication and is updated daily on week days.

Initial download of the metrics may take a while.