Open Access

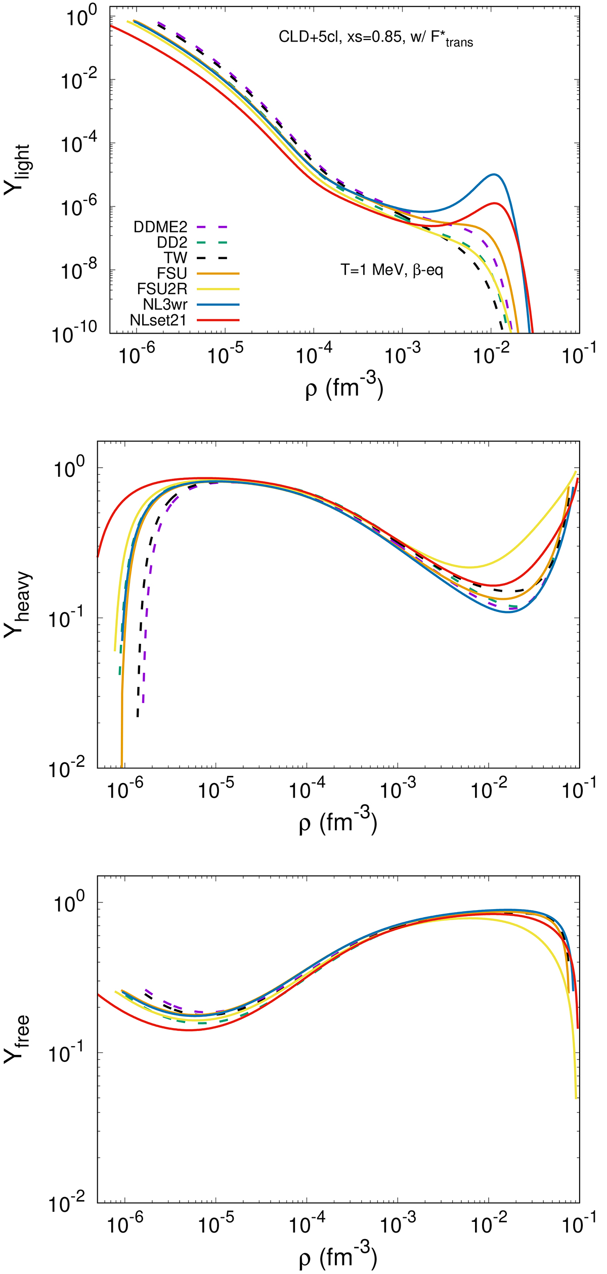
Fig. 5.

image

Download original image

Mass fractions of light clusters (top panel), heavy clusters (middle panel), and unbound nucleons (bottom panel) as a function of the total baryon density, ρ, in the inner crust at T = 1 MeV for all models considered in this work. The results were obtained employing the corrected translational free energy, F trans $ F^{\star }_{\mathrm {trans}} $.

Current usage metrics show cumulative count of Article Views (full-text article views including HTML views, PDF and ePub downloads, according to the available data) and Abstracts Views on Vision4Press platform.

Data correspond to usage on the plateform after 2015. The current usage metrics is available 48-96 hours after online publication and is updated daily on week days.

Initial download of the metrics may take a while.