Open Access

Fig. 12

image

Download original image

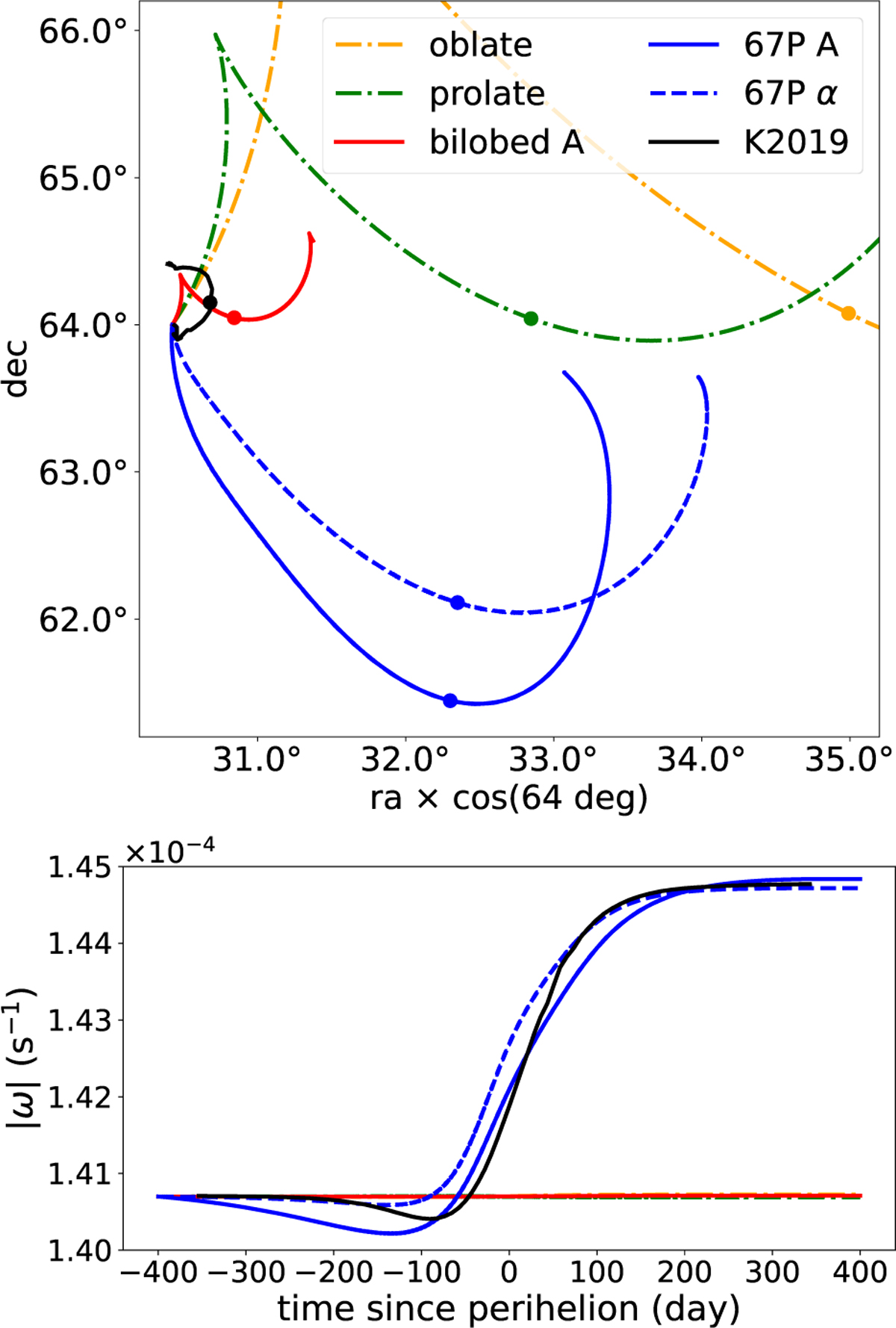
Angular velocity, ω. R0, L0 is in lowest-energy state. T is evaluated for solar vector, rs, describing the trajectory of the sun during the apparition 2015 relative to comet 67P/C-G. Considered are the oblate ellipsoid, the near-prolate ellipsoid, the bilobed shape, the shape 67P with model A/fEAF = 1/8, and the shape 67P with model α/fEAF = 1/4. The markers on each curve denote the ω direction at perihelion passage in August 2015. Top: right ascension (ra) and declination (dec) for ω in the equatorial J2000 (EME2000) reference frame. Bottom: angular frequency, |ω|.

Current usage metrics show cumulative count of Article Views (full-text article views including HTML views, PDF and ePub downloads, according to the available data) and Abstracts Views on Vision4Press platform.

Data correspond to usage on the plateform after 2015. The current usage metrics is available 48-96 hours after online publication and is updated daily on week days.

Initial download of the metrics may take a while.