Open Access

Fig. 7.

image

Download original image

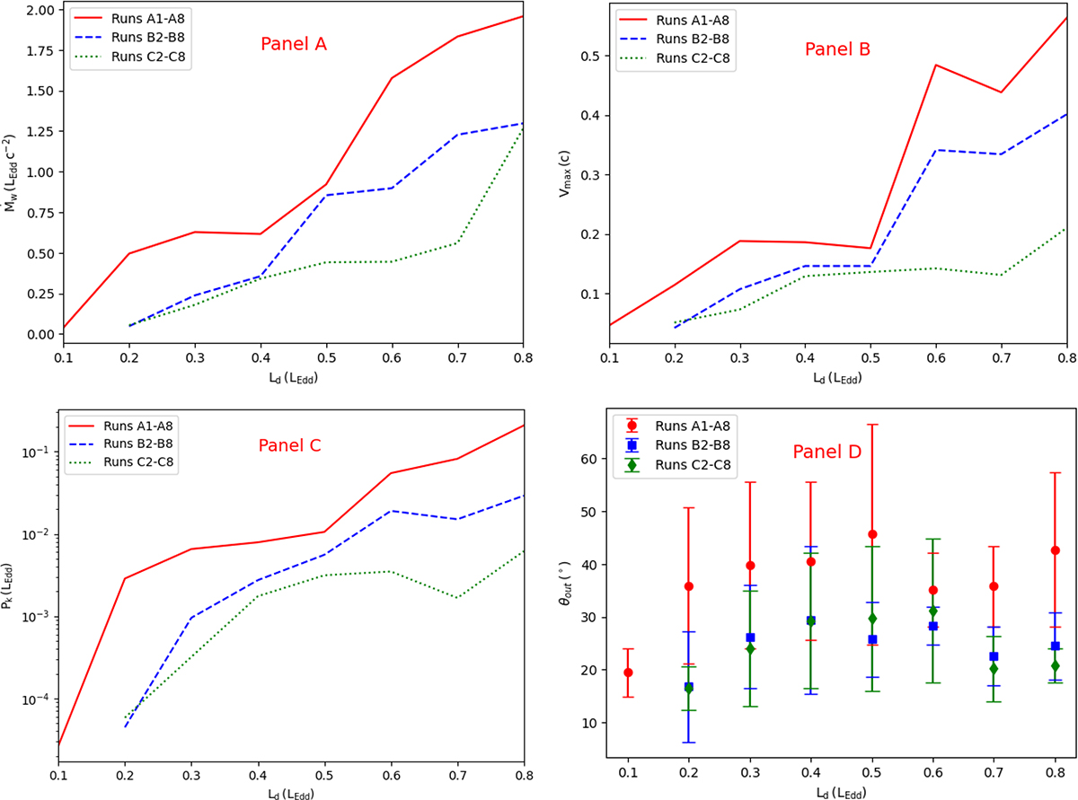
The influence of the disc luminosity on the wind properties at r = 1500rs, such as the mass outflow rate (w; panel A), the maximum velocity (vmax; panel B), the kinetic power of winds(Pk; panel C), and the angle of winds (panel D).

Current usage metrics show cumulative count of Article Views (full-text article views including HTML views, PDF and ePub downloads, according to the available data) and Abstracts Views on Vision4Press platform.

Data correspond to usage on the plateform after 2015. The current usage metrics is available 48-96 hours after online publication and is updated daily on week days.

Initial download of the metrics may take a while.