Open Access

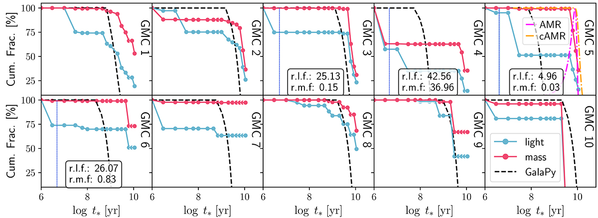
Fig. 6.

image

Download original image

STARLIGHT and GalaPy star-formation histories for the GMCs studied in this work. STARLIGHT discriminates between light and mass contributions to the total emission, contribution mainly coming from recent (blue) and old (red) stellar populations, respectively. GalaPy (black) generally provides ages between STARLIGHT’s light- and mass-weighted ages. For GMC 5, we have over-plotted the cumulative (in yellow) and normalized (in magenta) skewed Gaussian derived from the age-metallicity relation (see Appendix C). GMCs 3 to 6 also show the estimated ages from super star clusters derived by Butterworth et al. (2024) in vertical dashed blue lines surrounded by 1σ uncertainties as shaded areas; the remaining cumulative fraction (Cum. Frac.) to reach 100% of the emission at those ages, that is to say, the percentage of stellar formation that these radio observations account for, are denoted as r.l.f. and r.m.f. for remaining light and mass fractions, respectively.

Current usage metrics show cumulative count of Article Views (full-text article views including HTML views, PDF and ePub downloads, according to the available data) and Abstracts Views on Vision4Press platform.

Data correspond to usage on the plateform after 2015. The current usage metrics is available 48-96 hours after online publication and is updated daily on week days.

Initial download of the metrics may take a while.