Open Access

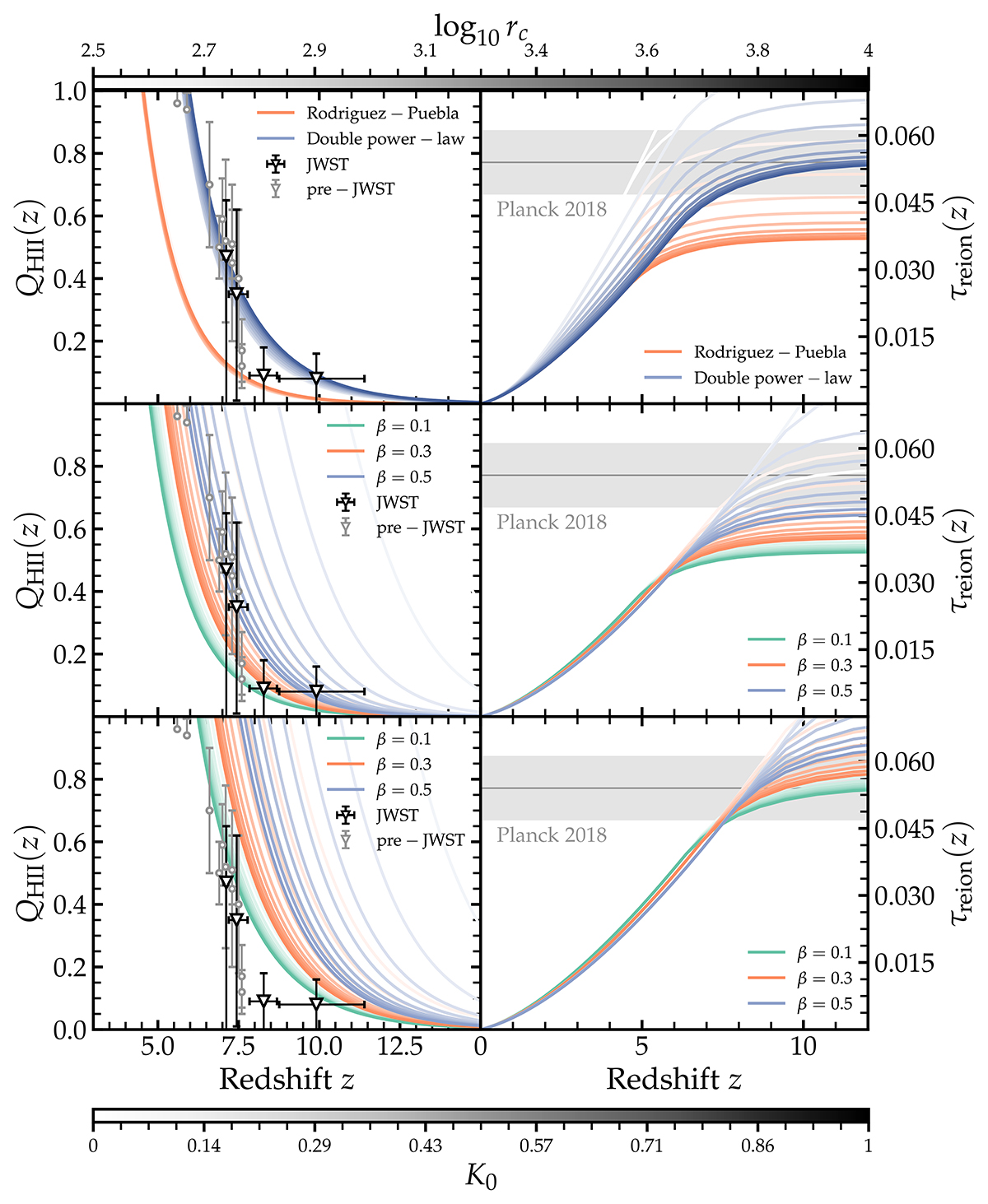
Fig. A.15.

image

Download original image

Volume filling fraction of HII (left column) and optical depth (right column) for nDGP (first row), k-mouflage Rodriguez-Puebla (second row) and double power-law SMHR (third row). Observational constraint on the optical depth by the Planck probe is provided as a grey band

Current usage metrics show cumulative count of Article Views (full-text article views including HTML views, PDF and ePub downloads, according to the available data) and Abstracts Views on Vision4Press platform.

Data correspond to usage on the plateform after 2015. The current usage metrics is available 48-96 hours after online publication and is updated daily on week days.

Initial download of the metrics may take a while.