Open Access

Fig. 1

image

Download original image

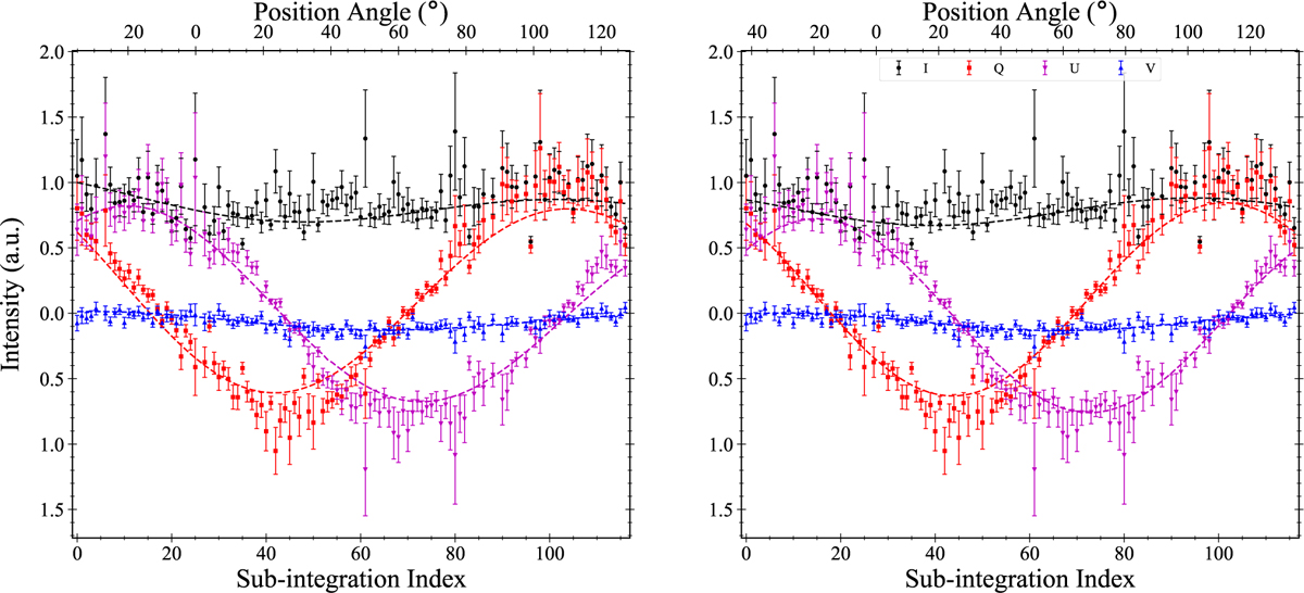
Left: measured and modeled Stokes parameters as a function of time and position angle Φ′ = Φ + α (where Φ denotes the parallactic angle and α is the orientation of the horn) for PSR J0742-2822, observed on MJD 59368. The pulsar was observed for ~1 h with the NUPPI backend at the central frequency of 1484 MHz. Across the observation, the feed horn was made to rotate by 180° The data points represent measured Stokes parameters; the dashed lines represent the modeled Stokes parameters as determined by analyzing the data using the MEM model (see Sect. 2 for the description of the analysis). The data were normalized by the total invariant interval (Britton 2000) to limit apparent variations in the gain caused by scintillation during the observation. The results shown in this panel were obtained by using an expression for the parallactic angle that included a sign error. Right: same results as in the left panel, after correcting for the sign error in the expression for the parallactic angle in the case of NRT observations.

Current usage metrics show cumulative count of Article Views (full-text article views including HTML views, PDF and ePub downloads, according to the available data) and Abstracts Views on Vision4Press platform.

Data correspond to usage on the plateform after 2015. The current usage metrics is available 48-96 hours after online publication and is updated daily on week days.

Initial download of the metrics may take a while.