Open Access

Fig. 12.

image

Download original image

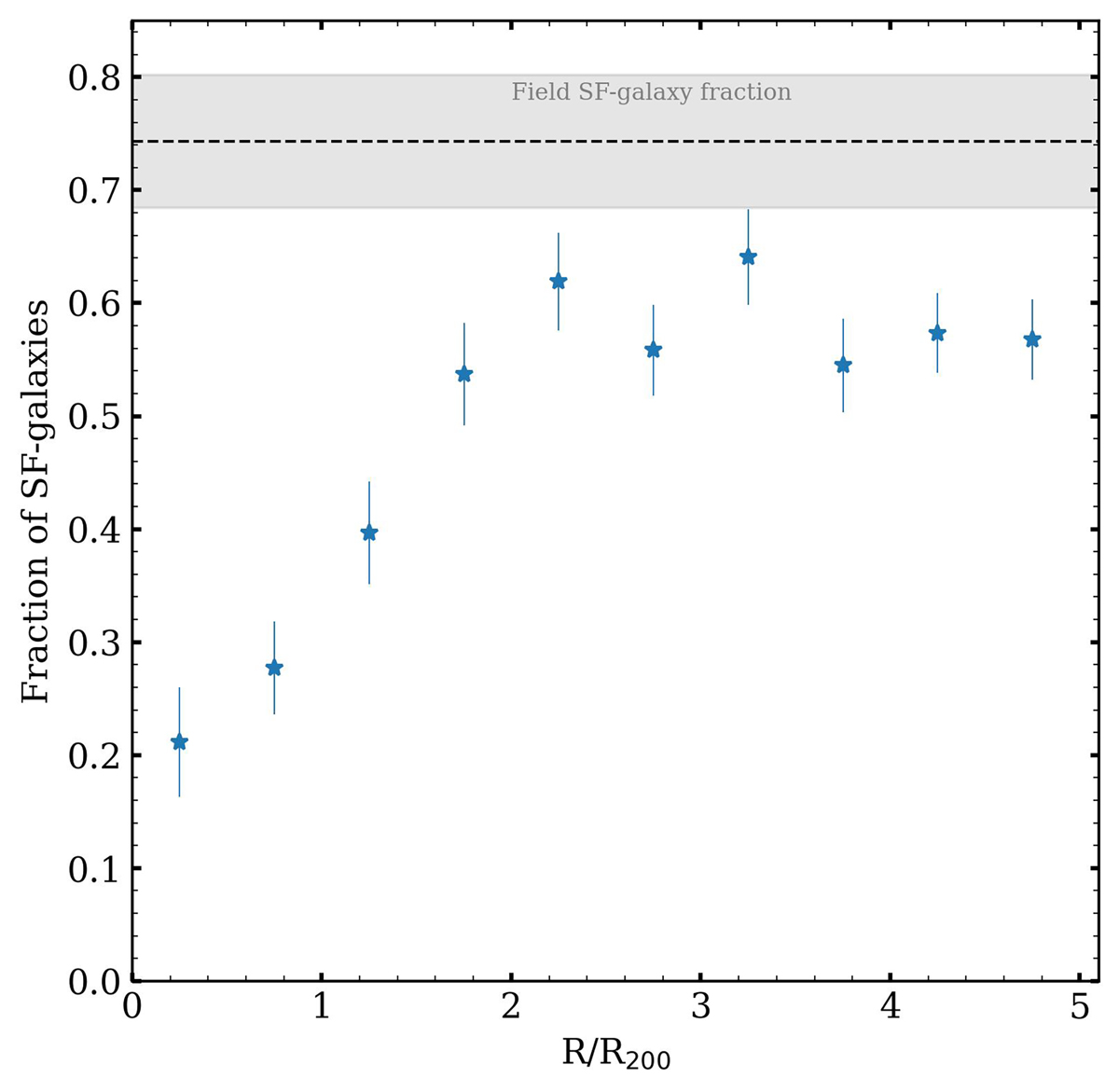
Star-forming galaxy fraction versus cluster-centric distance. Blue stars represent the star-forming galaxy fraction in 0.5r200 radial bins. The error bars indicate the uncertainties in the fraction derived from binomial statistics. The star-forming fraction shows a steady increase with cluster-centric distance. However, this fraction remains lower than that in the coeval field (grey dashed line), indicating that environmental processes are quenching galaxies before they join the cluster dynamics or in-fall region.

Current usage metrics show cumulative count of Article Views (full-text article views including HTML views, PDF and ePub downloads, according to the available data) and Abstracts Views on Vision4Press platform.

Data correspond to usage on the plateform after 2015. The current usage metrics is available 48-96 hours after online publication and is updated daily on week days.

Initial download of the metrics may take a while.