Open Access

Fig. 5

image

Download original image

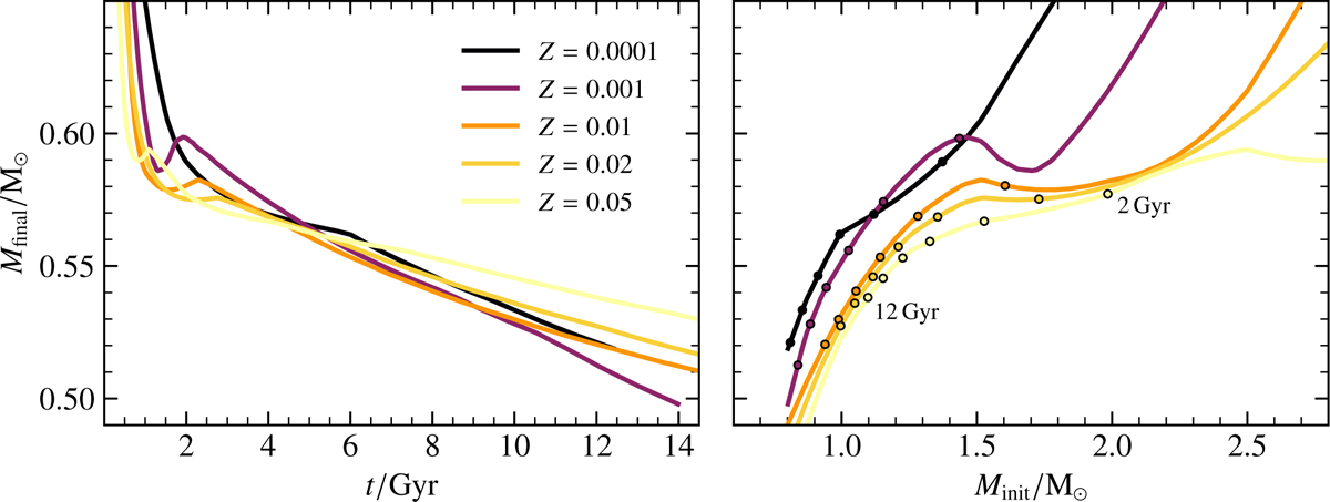
Final masses as a function of stellar lifetime (left) and of initial mass (right) for selected metallicities (Z = 0.0001, 0.001, 0.01, 0.02, and 0.05) based on the models of Miller Bertolami (2016). The final mass y-axis range is reduced to the primarily relevant values in the regime of older stellar populations of t > 2 Gyr. For the initial-to-final mass relation, the masses reaching the post-AGB phase after t = 2, 4, 6, 8, 10, and 12 Gyr are marked with circles.

Current usage metrics show cumulative count of Article Views (full-text article views including HTML views, PDF and ePub downloads, according to the available data) and Abstracts Views on Vision4Press platform.

Data correspond to usage on the plateform after 2015. The current usage metrics is available 48-96 hours after online publication and is updated daily on week days.

Initial download of the metrics may take a while.