Open Access

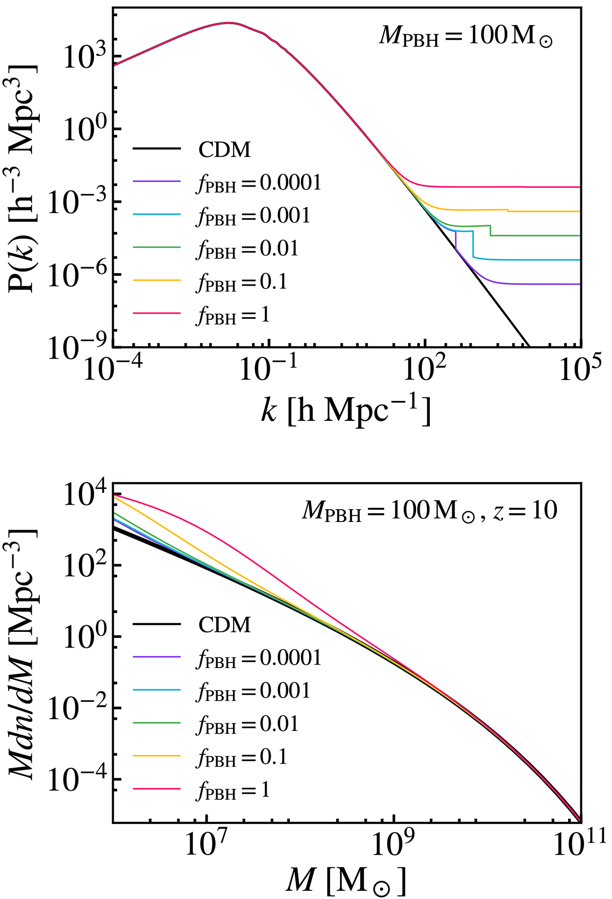
Fig. 1.

image

Download original image

Impact of PBHs on the power spectrum and HMF (assuming MPBH = 100 M). Top panel: total power spectrum Ptot(k) as a function of wavenumber k for various fractions of DM in PBHs (fPBH = 0.0001, 0.001, 0.01, 0.1, and 1), compared to the standard ΛCDM case (fPBH = 0). Bottom panel: HMF at z = 10, showing the number density of halos as a function of halo mass M, also assuming MPBH = 100 M.

Current usage metrics show cumulative count of Article Views (full-text article views including HTML views, PDF and ePub downloads, according to the available data) and Abstracts Views on Vision4Press platform.

Data correspond to usage on the plateform after 2015. The current usage metrics is available 48-96 hours after online publication and is updated daily on week days.

Initial download of the metrics may take a while.