Open Access

Fig. 5.

image

Download original image

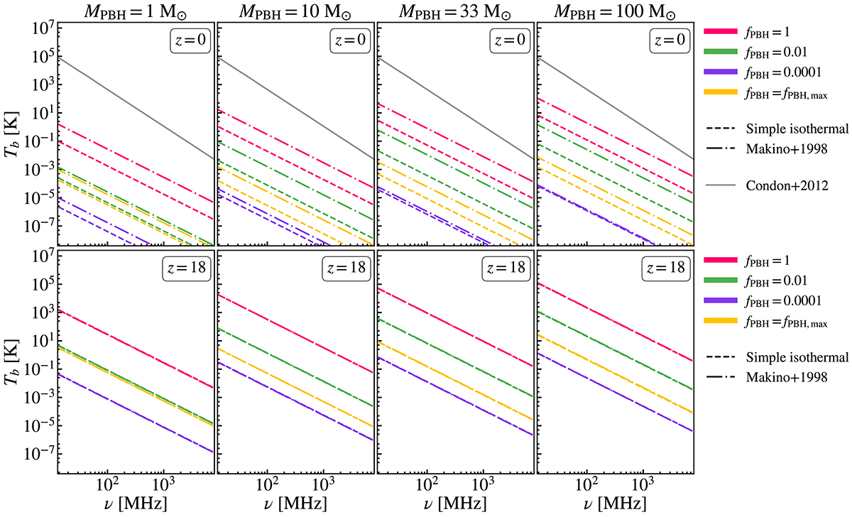
Brightness temperature of the radio background (Tb) as a function of frequency for PBHs accreting in halos, evaluated at z = 0 (top row) and z = 18 (bottom row). Columns correspond to different PBH masses (MPBH = 1, 10, 33, 100 M), while the line styles (solid and dashed-dotted) represent the simple isothermal and Makino+1998 density profiles, respectively. The colour scheme indicates fPBH: red for 1, green for 10−2, purple for 10−4, and gold for fmax. The maximum fraction of DM allowed for each PBH mass, fmax, is determined from CXB observational and LWB theoretical constraints: 7 × 10−3 for MPBH = 1 M, 6 × 10−4 for MPBH = 10 M and 33 M, and 7 × 10−4 for MPBH = 100 M. In the top panels, the grey continuous line corresponds to the fit for the observed radio background excess at z = 0 from Condon et al. (2012).

Current usage metrics show cumulative count of Article Views (full-text article views including HTML views, PDF and ePub downloads, according to the available data) and Abstracts Views on Vision4Press platform.

Data correspond to usage on the plateform after 2015. The current usage metrics is available 48-96 hours after online publication and is updated daily on week days.

Initial download of the metrics may take a while.