Open Access

Fig. E.1

image

Download original image

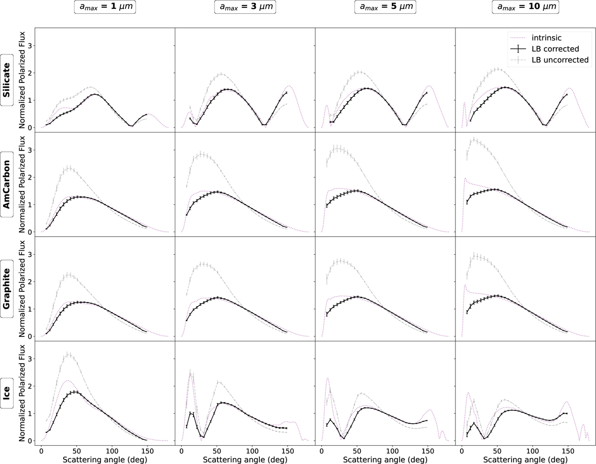
SPFs extracted from simulated disk images using MCFOST, changing the composition (rows) and the size distribution (columns). For each case, we display the intrinsic SPF as the dotted purple curve, and the extracted SPF before and after limb brightening correction as gray and black lines, respectively.

Current usage metrics show cumulative count of Article Views (full-text article views including HTML views, PDF and ePub downloads, according to the available data) and Abstracts Views on Vision4Press platform.

Data correspond to usage on the plateform after 2015. The current usage metrics is available 48-96 hours after online publication and is updated daily on week days.

Initial download of the metrics may take a while.