Open Access

Fig. 1

image

Download original image

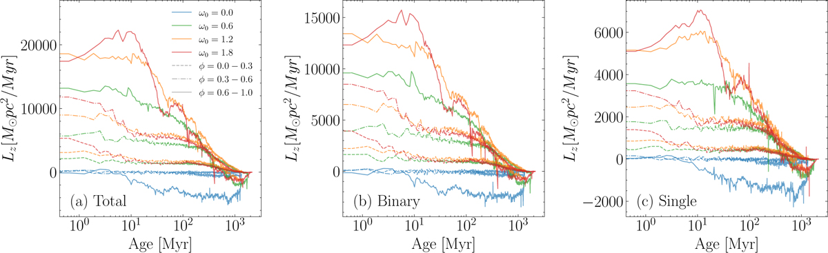
Angular momentum of all stars (panel a), binary stars (panel b), and single stars (panel c) of the simulations with 15k stars, fbin = 50%, and Z = 0.01. Colors represent simulations with different ω0. The line styles represent the angular momentum of stars within the inmost, intermediate, and outmost regions.

Current usage metrics show cumulative count of Article Views (full-text article views including HTML views, PDF and ePub downloads, according to the available data) and Abstracts Views on Vision4Press platform.

Data correspond to usage on the plateform after 2015. The current usage metrics is available 48-96 hours after online publication and is updated daily on week days.

Initial download of the metrics may take a while.