Open Access

Fig. 4

image

Download original image

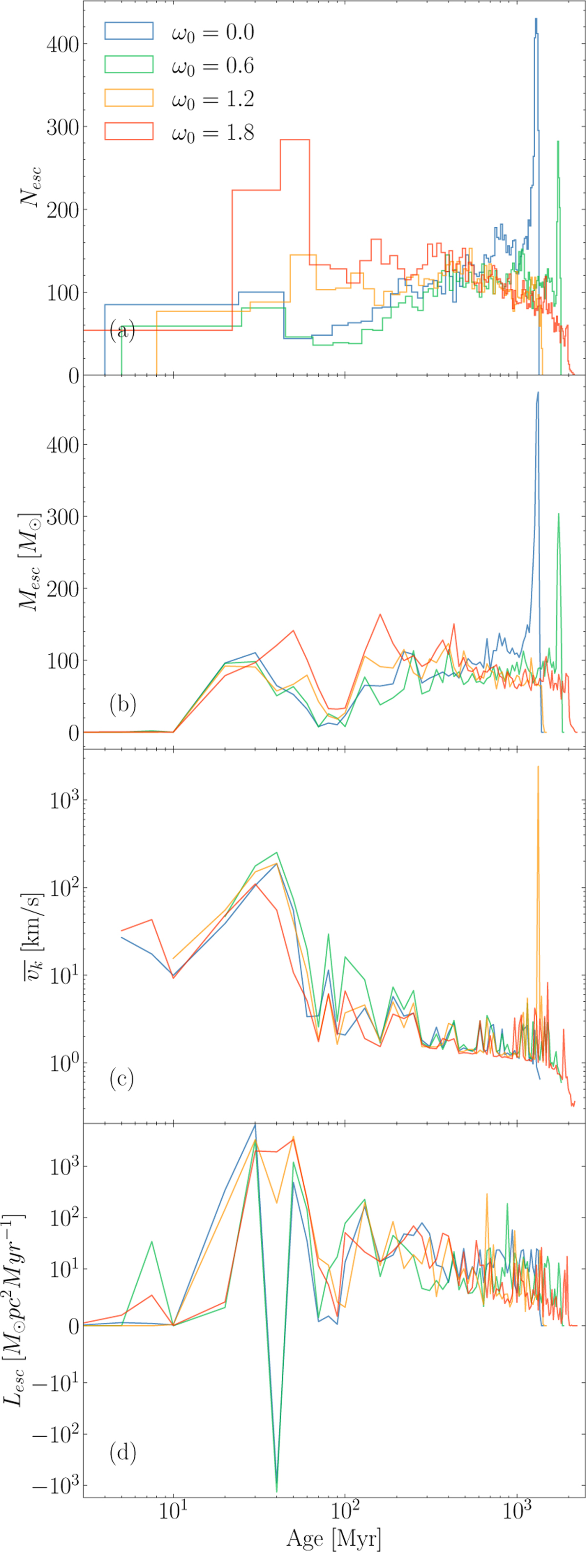
Properties of escaping stars over time: Evolution of the number of stars Nesc (panel a), total mass Mesc (panel b), mean kick velocity k (panel c), and angular momentum Lesc (panel d). The color scheme is the same as that of Fig. 1.

Current usage metrics show cumulative count of Article Views (full-text article views including HTML views, PDF and ePub downloads, according to the available data) and Abstracts Views on Vision4Press platform.

Data correspond to usage on the plateform after 2015. The current usage metrics is available 48-96 hours after online publication and is updated daily on week days.

Initial download of the metrics may take a while.