Open Access

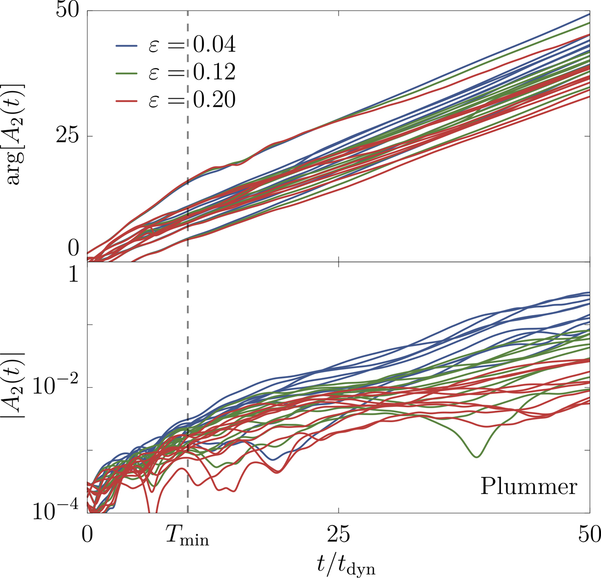
Fig. B.1.

image

Download original image

Time series of the unwrapped phase (top) and the norm (bottom) of the bisymmetric fluctuations probed by A2(t) from Equation (B.6) over ten independent realisations of the unstable Zang ν​ = ​4 disc (Zang 1976). Each simulation is performed with N​ = ​2​ × ​108 particles using the Plummer softening kernel (Equation G.2) and for varying softening lengths, ε. For each ε, the same ten initial conditions are used and shown in the same colour. The frequency ΩM (resp. growth rate γM) of the mode are estimated by a linear fit of the phase (resp. log of the norm) of such time series, only using t​ ≥ ​Tmin​ = ​10 tdyn. The growth of the phase is generically more regular than the growth of the norm. The Plummer softening kernel introduces a strong gravity bias when compared with (non-softened) theoretical predictions.

Current usage metrics show cumulative count of Article Views (full-text article views including HTML views, PDF and ePub downloads, according to the available data) and Abstracts Views on Vision4Press platform.

Data correspond to usage on the plateform after 2015. The current usage metrics is available 48-96 hours after online publication and is updated daily on week days.

Initial download of the metrics may take a while.