Open Access

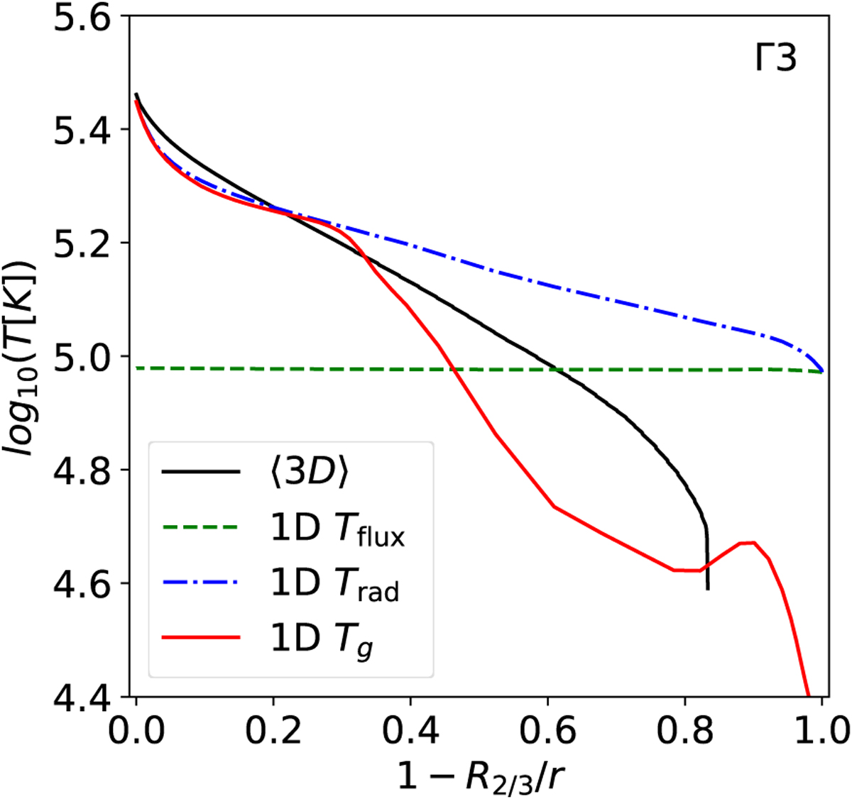
Fig. A.1

image

Download original image

Flux temperature (dashed green line) and radiation temperature (dashed blue line) for the Γ3 model obtained from the total emergent flux, compared to the gas temperature stratifications for the averaged ⟨3D⟩ model.

Current usage metrics show cumulative count of Article Views (full-text article views including HTML views, PDF and ePub downloads, according to the available data) and Abstracts Views on Vision4Press platform.

Data correspond to usage on the plateform after 2015. The current usage metrics is available 48-96 hours after online publication and is updated daily on week days.

Initial download of the metrics may take a while.