Open Access

Fig. 6

image

Download original image

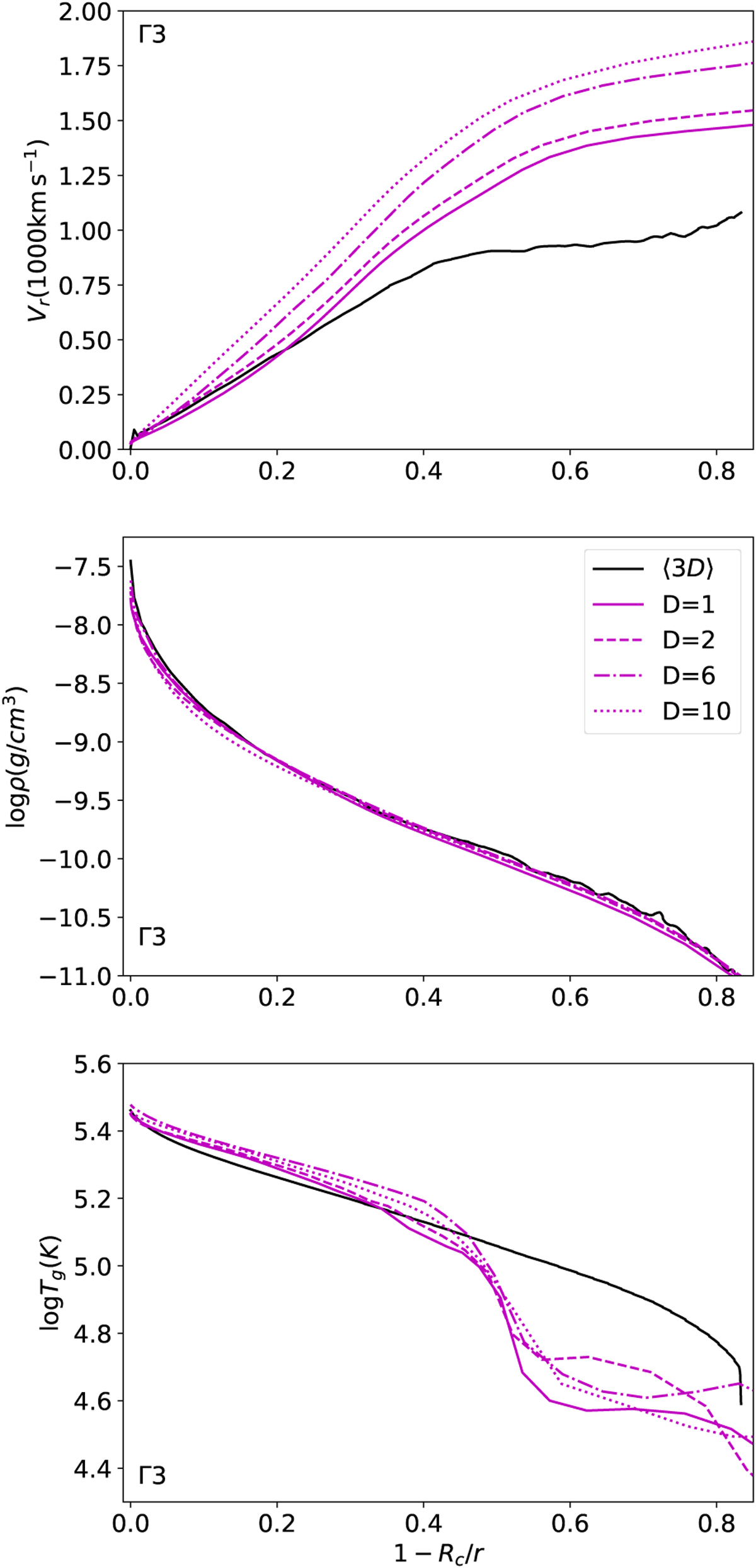
Radial velocity, density and gas temperature profiles for the averaged 3D model from Moens et al. (2022a) in solid black and PoWRHD models for Γ3 including different turbulence values, vturb.

Current usage metrics show cumulative count of Article Views (full-text article views including HTML views, PDF and ePub downloads, according to the available data) and Abstracts Views on Vision4Press platform.

Data correspond to usage on the plateform after 2015. The current usage metrics is available 48-96 hours after online publication and is updated daily on week days.

Initial download of the metrics may take a while.