Open Access

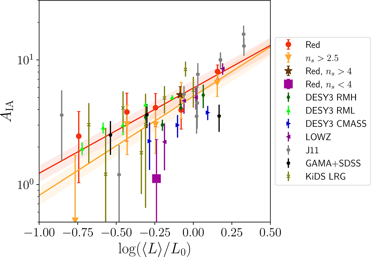
Fig. A.1.

image

Download original image

Same as Fig. 5 but including measurements of AIA from other studies: samples DESY3 RMH (dark green diamonds), DESY3 RML (light green upper triangles), and CMASS (blue right-facing triangles) are from Samuroff et al. (2023), LOWZ (purple left-facing triangles) from Singh et al. (2015), J11 (gray hexagons) from Joachimi et al. (2011), GAMA+SDSS (black pentagons) from Johnston et al. (2019) and KiDS LRG (olive x-markers) from Fortuna et al. (2021a). The last two samples are not entirely independent of our measurements in this work.

Current usage metrics show cumulative count of Article Views (full-text article views including HTML views, PDF and ePub downloads, according to the available data) and Abstracts Views on Vision4Press platform.

Data correspond to usage on the plateform after 2015. The current usage metrics is available 48-96 hours after online publication and is updated daily on week days.

Initial download of the metrics may take a while.